HW 3.5 graphing in slope intercept form
star
star
star
star
star
Last updated over 4 years ago
9 questions
1
Find the slope of the line.
Find the slope of the line.
1
Find the slope of the line.
Find the slope of the line.
1
Find the y intercept.
Find the y intercept.
1
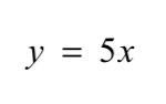
Find the slope of the line.
Find the slope of the line.
1
Find the y-intercept.
Find the y-intercept.
1
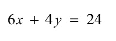
Find the slope of the line.
Find the slope of the line.
1
Find the y intercept.
Find the y intercept.
1
Find the slope of the line.
Find the slope of the line.
1
Find the y intercept.
Find the y intercept.