U5F1
star
star
star
star
star
Last updated over 4 years ago
3 questions
1
The ratio of the angles of a triangle is 2:3:4, select the measure of the smallest angle. (Remember the sum of three angles of a triangle=180)
The ratio of the angles of a triangle is 2:3:4, select the measure of the smallest angle. (Remember the sum of three angles of a triangle=180)
1
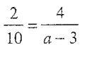
Select the value of a
Select the value of a
1
If 1 cm = 10 miles on a map, find the distance in miles between two points that measure 3.4 cm apart.
If 1 cm = 10 miles on a map, find the distance in miles between two points that measure 3.4 cm apart.