Log in
Sign up for FREE
arrow_back
Library

Algebra 1 Extension Quiz 2: Equations Variables on Both Sides

star
star
star
star
star
Last updated over 5 years ago
3 questions
3
Question 1
1.

Solve the equation.
*Show your work in the 'Show Your Work' section or essay box

A.REI.3
3
A.REI.1
4
A.REI.1
Question 2
2.

Select all equations that are equivalent to

Question 3
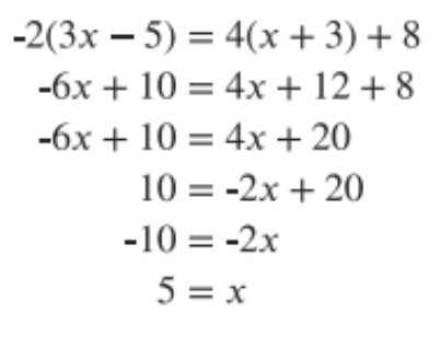
3.

Andre solved an equation, but when he checked his answer he saw his solution was incorrect. He knows he made a mistake, but he can’t find it. Where is Andre’s mistake and what is the solution to the equation?