Log in
Sign up for FREE
arrow_back
Library
More Trig Equations (V2)
By Genene Cook
star
star
star
star
star
Share
share
Last updated about 4 years ago
15 questions
Add this activity
The solutions are at the bottom. Type the letter for the corresponding solution.
1
2
zoom_in
1 point
1
Question 1
1.
1 point
1
Question 2
2.
3
4
zoom_in
1 point
1
Question 3
3.
1 point
1
Question 4
4.
5
6
zoom_in
1 point
1
Question 5
5.
1 point
1
Question 6
6.
7
8
zoom_in
1 point
1
Question 7
7.
1 point
1
Question 8
8.
9
10
zoom_in
1 point
1
Question 9
9.
1 point
1
Question 10
10.
zoom_in
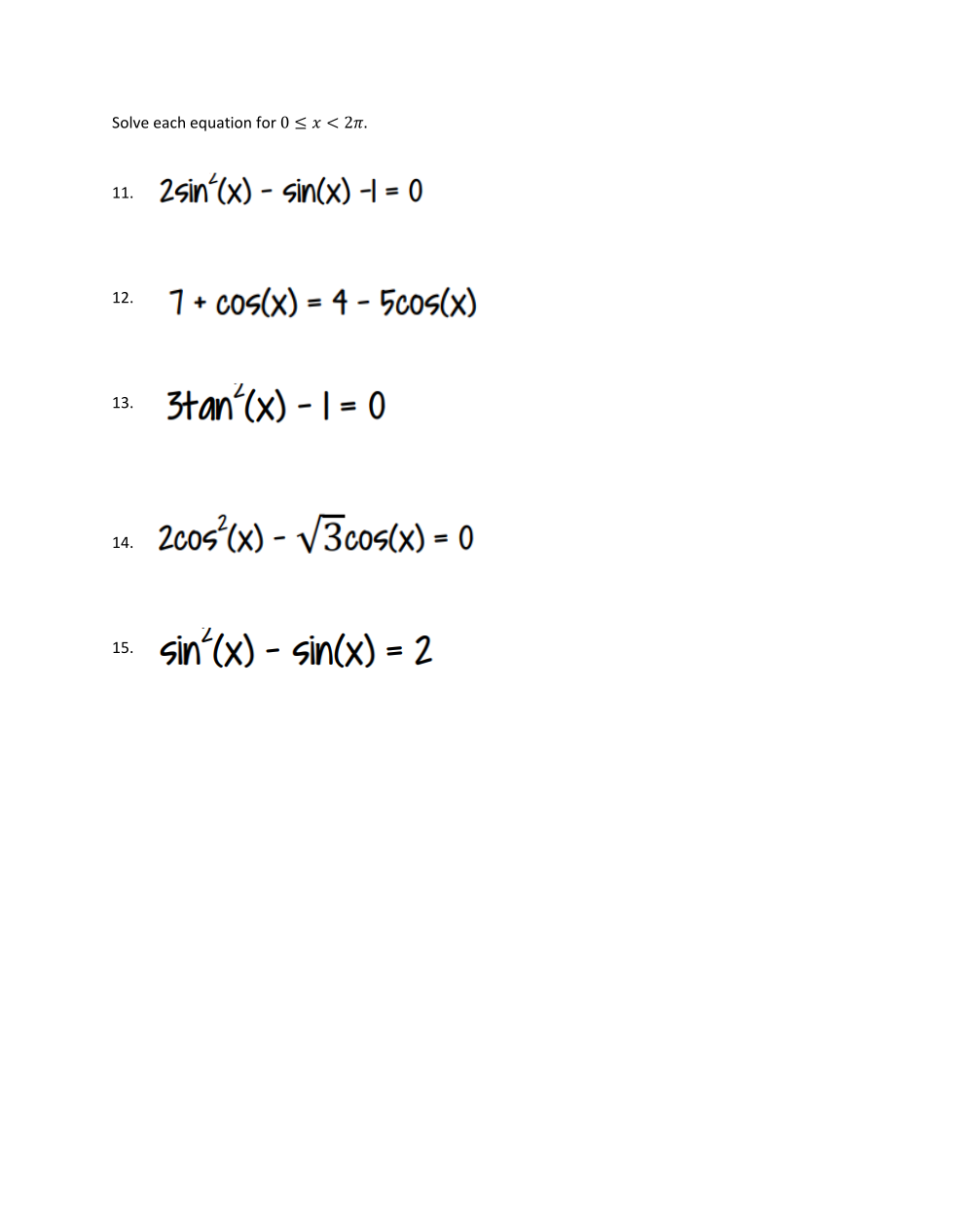
11
12
13
14
15
zoom_in
1 point
1
Question 11
11.
1 point
1
Question 12
12.
1 point
1
Question 13
13.
1 point
1
Question 14
14.
1 point
1
Question 15
15.