Log in
Sign up for FREE
arrow_back
Library

Unit 3B Quiz

star
star
star
star
star
Last updated almost 4 years ago
12 questions
1
1
1
1
1
1
1
1
1
1
1
1
Question 1
1.

When the expressions x2 – 9 and x2 – 5x + 6 are factored, what factor do they have in common?

Question 2
2.

Write the following standard form equation in factored form:
4x2 - 35x + 49

Question 3
3.

Solve 3x2 + 7x – 20 = 0. Write your answer in brackets (ex. {1,2/3})

Question 4
4.

Solve the quadratic equation 2x2 + 5x – 1 = 0 using the quadratic formula. Use the keyboard button to find symbols.

Question 5
5.

If (x - 3)2 = 5, then what values of x make the quadratic equation true? Write your answer in brackets (ex. {1,2})

Question 6
6.

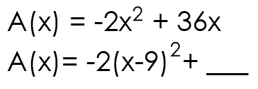
Question 7
7.

Write this quadratic function in standard form:

(3x - 4)(3x + 4)

Question 8
8.

The process of completing the square can be used to calculate the width, in feet, of the storage bin that gives a maximum area. What is the missing value? (I got the answer wrong. Take your previous answer and multiply by negative 2.)

Use this information to answer questions 9-12:
On a windy morning, a hot air balloon starts rising and flying away from the top of a hill. The altitude, h, in feet, of the balloon x hours after starting its ascent from the hill, can be modeled by this function:
h(x) = –16x2 + 64x + 80.
Question 9
9.

What is the starting height of the balloon?

Question 10
10.

How many hours have passed when the hot air balloon lands on the ground?

Question 11
11.

What is the maximum height, in feet, that the balloon will reach?

Question 12
12.

The balloon will reach its maximum height after how many hours?

The graph of y = x2 – 4 is shown. Which are solutions to x2 – 4 = 0?
x = 0
x = 1
x = -1
x = 2
x = -2
x = 3
x = -3
x = 4
x = -4