4.6. Equations of Parallel and Perpendicular Lines
star
star
star
star
star
Last updated about 5 years ago
12 questions
1 point
1
Question 1
1.
Write the equation of line AB in slope-intercept form.
1 point
1
Question 2
2.
Write the equation of line FE in slope-intercept form.
1 point
1
Question 3
3.
Write the slope of a line parallel to :
1 point
1
Question 4
4.
Write the slope of a line parallel to:
1 point
1
Question 5
5.
Write the slope of a line parallel to:
1 point
1
Question 6
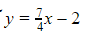
6.
Write the slope of a line perpendicular to:
1 point
1
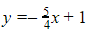
Question 7
7.
Write the slope of a line perpendicular to:
1 point
1
Question 8
8.
Write the equation of a line that is PARALLEL to the line below and goes through the point given. You may write your equation in slope-intercept or point-slope form.
1 point
1
Question 9
9.
Write the equation of a line that is PARALLEL to the line below and goes through the point given. You may write your equation in slope-intercept or point-slope form.
1 point
1
Question 10
10.
Write the equation of a line that is PARALLEL to the line below and goes through the point given. You may write your equation in slope-intercept or point-slope form.
1 point
1
Question 11
11.
Write the equation of a line that is PERPENDICULAR to the line below and goes through the point given. You may write your equation in slope-intercept or point-slope form.
1 point
1
Question 12
12.
Write the equation of a line that is PERPENDICULAR to the line below and goes through the point given. You may write your equation in slope-intercept or point-slope form.