5.1 QUIZ
star
star
star
star
star
Last updated about 5 years ago
6 questions
1
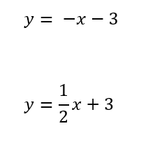
What is the solution point of this system?
What is the solution point of this system?
1
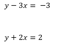
What is the solution point of this system?
What is the solution point of this system?
3
Solve the systems of equations by graphing.
Solve the systems of equations by graphing.
3
Solve the systems of equations by graphing.
Solve the systems of equations by graphing.
4
Solve the systems of equations by graphing.
Solve the systems of equations by graphing.
3
Match the number of solutions with the graph.
Match the number of solutions with the graph.
| Draggable item | arrow_right_alt | Corresponding Item |
|---|---|---|
| arrow_right_alt | No Solution | |
| arrow_right_alt | One Solution | |
| arrow_right_alt | Infinitely Many Solutions |