Systems of Equations Quiz
star
star
star
star
star
Last updated about 5 years ago
19 questions
1
If a system of equations has no solution, what does the graph look like?
If a system of equations has no solution, what does the graph look like?
1
When using substitution to solve this system of equations, what is the result of the first step?x = 6y + 3x + 2y = 5
When using substitution to solve this system of equations, what is the result of the first step?
x = 6y + 3
x + 2y = 5
1
Solve by graphing. (Type your equations in.)x + y = 32x - y = 0Give your solution in the "show your work" space provided.
Solve by graphing. (Type your equations in.)
x + y = 3
2x - y = 0
Give your solution in the "show your work" space provided.
1
Julie is asked to solve the system below by elimination. Which of the following would be the best way to begin?
Julie is asked to solve the system below by elimination. Which of the following would be the best way to begin?
1
Which system has exactly one solution?
Which system has exactly one solution?
1
Solve this system using elimination. SHOW YOUR WORK in the space provided. Enter your answer as a point (x, y), NS, or IS.
Solve this system using elimination. SHOW YOUR WORK in the space provided.
Enter your answer as a point (x, y), NS, or IS.
1
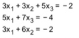
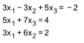
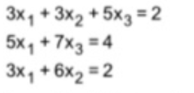
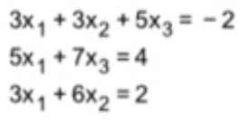
Solve the system of equations. SHOW YOUR WORK. Enter your answer as a point (x, y, z), NS, or IS.
Solve the system of equations. SHOW YOUR WORK.
Enter your answer as a point (x, y, z), NS, or IS.
1
Find the determinant.
Find the determinant.
1
Find the determinant.
Find the determinant.
1
What are the dimensions of the following matrix?
What are the dimensions of the following matrix?
1
Using the following matrices, select which matrix multiplication operations ARE POSSIBLE (you may select more than one answer):
Using the following matrices, select which matrix multiplication operations ARE POSSIBLE (you may select more than one answer):
1
Multiply the following two matrices:
Multiply the following two matrices:
3
Multiply the following matrices. Give your solution in the "show your work" space.
Multiply the following matrices. Give your solution in the "show your work" space.
1
Choose the system of equations that corresponds to the matrix equation.
Choose the system of equations that corresponds to the matrix equation.
1
1
Write the system of equations represented by the graph.
Write the system of equations represented by the graph.
1
Move the first column to the correct match.
Move the first column to the correct match.
| Draggable item | arrow_right_alt | Corresponding Item |
|---|---|---|
System B matches with | arrow_right_alt | Graph 2 |
System C matches with | arrow_right_alt | Graph 3 |
System A matches with | arrow_right_alt | Graph 1 |
1
Solve this system using substitution. SHOW YOUR WORK in the space provided.Enter your answer as a point (x, y), NS, or IS.
-2x + y = 6-6x + 3y = -3
Solve this system using substitution.
SHOW YOUR WORK in the space provided.
Enter your answer as a point (x, y), NS, or IS.
-2x + y = 6
-6x + 3y = -3
1