Chapter 4 Test (Part 1)
star
star
star
star
star
Last updated about 5 years ago
10 questions

3
What is this mixed number as a decimal?
What is this mixed number as a decimal?
3
Which symbol makes this a true sentence?
Which symbol makes this a true sentence?
3
Solve. Simplify your answer.
Solve. Simplify your answer.
3
Solve. Simplify your answer.
Solve. Simplify your answer.

3
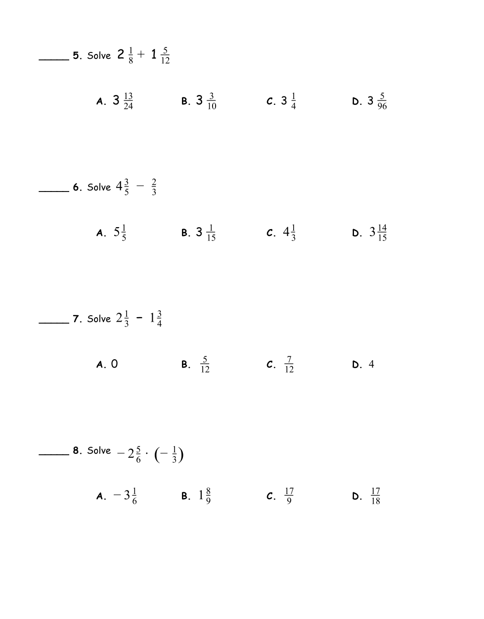
Solve. Simplify your answer.
Solve. Simplify your answer.
3
Solve. Simplify your answer.
Solve. Simplify your answer.
3
Solve. Simplify your answer.
Solve. Simplify your answer.
3
Solve. Simplify your answer.
Solve. Simplify your answer.

3
Solve. Simplify your answer.
Solve. Simplify your answer.
3
Select the correct order from least to greatest in the given set
Select the correct order from least to greatest in the given set