4.1 writing equations in slope intercept form
star
star
star
star
star
Last updated over 4 years ago
9 questions
1
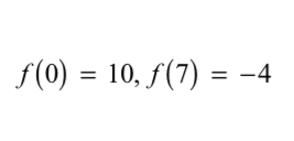
Write an equation in slope intercept form using the information below.
Write an equation in slope intercept form using the information below.
1
Write an equation in slope intercept form using the information below.
Write an equation in slope intercept form using the information below.
1
Write an equation in slope intercept form using the information below.
Write an equation in slope intercept form using the information below.
1
Write an equation in slope intercept form using the information below.
Write an equation in slope intercept form using the information below.
1
Write an equation in slope intercept form using the information below.
Write an equation in slope intercept form using the information below.
1
Write an equation in slope intercept form using the information below.
Write an equation in slope intercept form using the information below.
1
Write an equation in slope intercept form using the information below.
Write an equation in slope intercept form using the information below.
1
Write an equation in slope intercept form using the information below.
Write an equation in slope intercept form using the information below.
1
Write an equation in slope intercept form using the information below.
Write an equation in slope intercept form using the information below.