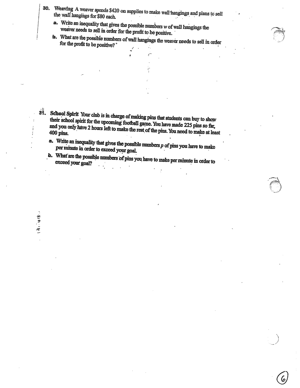
HW 6.3
star
star
star
star
star
Last updated almost 2 years ago
11 questions

1
Write your solution as an inequality (no spaces, variable first).
Write your solution as an inequality (no spaces, variable first).
1
Write your solution as an inequality (no spaces, variable first).
Write your solution as an inequality (no spaces, variable first).
1
Write your solution as an inequality (no spaces, variable first).
Write your solution as an inequality (no spaces, variable first).
1
Write your solution as an inequality (no spaces, variable first).
Write your solution as an inequality (no spaces, variable first).
1
Write your solution as an inequality (no spaces, variable first).
Write your solution as an inequality (no spaces, variable first).
1
Write your solution as an inequality (no spaces, variable first).
Write your solution as an inequality (no spaces, variable first).
1
* All answer choices will be given with x as the variable.
* All answer choices will be given with x as the variable.
| Draggable item | arrow_right_alt | Corresponding Item |
|---|---|---|
#11 | arrow_right_alt | no solution |
#12 | arrow_right_alt | all real numbers |
#13 | arrow_right_alt |
1
1

1
1
Choose the possible solutions.
Choose the possible solutions.