Log in
Sign up for FREE
arrow_back
Library
Quiz 9.1-9.3
By Kevin Struble
star
star
star
star
star
Share
share
Last updated about 5 years ago
10 questions
Add this activity
1
1
1
1
1
1
1
1
1
1
Question 1
1.
Match the graph with the number of real solutions.
Zero real soultions
One real solution
Two real solutions
Question 2
2.
Find the roots shown by the graph
x=-25
No solutions
x={-5, 5}
x={-8, 8}
Question 3
3.
The zero product property states
If ab=0, then a=0 or b=0.
If ab=-1, then a=-1 or b=-1.
If ab=0, then a=1 or b=1.
If ab=1, then a=1 or b=1.
Question 4
4.
Which shows the correct use of the zero product property?
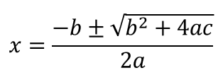
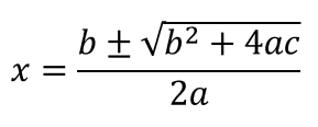
Question 5
5.
Which correctly shows the quadratic formula?
Question 6
6.
What is the discriminant?
The way to find what the roots are.
Another name for the solutions.
Question 7
7.
Match the value of the discriminant with the number and type of roots.
Discriminant >0
Discriminant <0
Discriminant =0
0 real roots
1 real root
2 real roots
Question 8
8.
When completing the quardratic formula, you get a positive prime number as a radicand. This means that
you will not have a solution.
you will have exactly one solution.
you could easily graph the parabola to find the solution.
you have an irrational answer as a solution.
Question 9
9.
Given the quadratic function
identify a, b, and c.
a=3, b=0, c=20
a=3, b=0, c=-20
a=3, b=1, c=-20
a=3, b=1, c=20
Question 10
10.
Which shows the appropriate way to "branch" the final answer to the quadratic formula?