HW Multiplying & Dividing Rational Expressions
star
star
star
star
star
Last updated over 2 years ago
11 questions
1
Simplify completely.
Simplify completely.
1
Simplify completely.
PS-when you type your answer, it helps to put the numerator in parentheses. Use the same format as the multiple choice answers in #1. Type a comma and space before your domain restrictions. Click on the little keyboard in the answer box for the \ne symbol.
Simplify completely.
PS-when you type your answer, it helps to put the numerator in parentheses. Use the same format as the multiple choice answers in #1. Type a comma and space before your domain restrictions. Click on the little keyboard in the answer box for the \ne symbol.
1
Simplify completely.
Simplify completely.
1
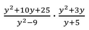
Multiply & Simplify completely.
Multiply & Simplify completely.
1
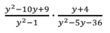
Multiply & Simplify completely.
Multiply & Simplify completely.
1
Multiply & Simplify completely.
Multiply & Simplify completely.
1
Multiply & Simplify completely.
Multiply & Simplify completely.
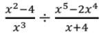
1
Divide & Simplify completely.
Divide & Simplify completely.
1
Divide & Simplify completely.
Divide & Simplify completely.
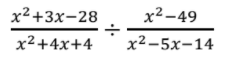
1
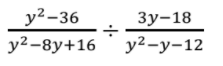
Divide & Simplify completely.
Divide & Simplify completely.
1
Divide & Simplify completely.
Divide & Simplify completely.