rms.056 Social Studies Grade 8 Benchmark Window #02 December 2020
star
star
star
star
star
Last updated about 5 years ago
44 questions

1
The idea expressed in this quote is that the United States should avoid —
The idea expressed in this quote is that the United States should avoid —

1
Which numbered state did the United States acquire from Spain in 1819?
Which numbered state did the United States acquire from Spain in 1819?
1
The development of the factory system in the early 1800s caused —
The development of the factory system in the early 1800s caused —

1
What does this list suggest about the drafters of the Articles of Confederation?
What does this list suggest about the drafters of the Articles of Confederation?
1
What was the primary reason Parliament passed these acts?
What was the primary reason Parliament passed these acts?

1
Which pair of actions best completes this graphic?
Which pair of actions best completes this graphic?
1
Which of the following is most associated with the formation of the Democratic Party?
Which of the following is most associated with the formation of the Democratic Party?

1
The British government issued the Proclamation of 1763 to limit the area British colonists were allowed to settle. Which geographic feature did the British use as the boundary of approved settlement?
The British government issued the Proclamation of 1763 to limit the area British colonists were allowed to settle. Which geographic feature did the British use as the boundary of approved settlement?
1
Which of the following occurred as a result of these events?
Which of the following occurred as a result of these events?

1
What was the main cause of the impeachment of President Andrew Johnson in 1868?
What was the main cause of the impeachment of President Andrew Johnson in 1868?
1
Where did the events shown in this painting occur?
Where did the events shown in this painting occur?

1
Which change occurred as a direct result of these developments?
Which change occurred as a direct result of these developments?
1
Which document completes this excerpt?
Which document completes this excerpt?

1
The Virginia Company authorized a general assembly in Virginia so that colonists could —
The Virginia Company authorized a general assembly in Virginia so that colonists could —
1
Which action completes this graphic organizer?
Which action completes this graphic organizer?

1
The statistics in this table illustrate population changes associated with —
The statistics in this table illustrate population changes associated with —

1
The theme represented in this painting is most associated with —
The theme represented in this painting is most associated with —
1
How did the Freedmen’s Bureau most assist in the reconstruction of the South?
How did the Freedmen’s Bureau most assist in the reconstruction of the South?

1
Which of the following names the group best known for settling this region and states their reason for settling?
Which of the following names the group best known for settling this region and states their reason for settling?
1
Which of the following correctly completes this graphic organizer?
Which of the following correctly completes this graphic organizer?

1
What was the primary question surrounding the 1832 Nullification Crisis?
What was the primary question surrounding the 1832 Nullification Crisis?
1
Which American colony’s economy was based primarily on shipbuilding and fishing?
Which American colony’s economy was based primarily on shipbuilding and fishing?

1
This political cartoon comments on events that occurred during the —
This political cartoon comments on events that occurred during the —
1
The Twelfth Amendment established a new process for choosing a president and a vice president. The purpose of this amendment was to —
The Twelfth Amendment established a new process for choosing a president and a vice president. The purpose of this amendment was to —

1
Which of the following had the greatest impact on the outcome of the Civil War?
Which of the following had the greatest impact on the outcome of the Civil War?
1
This leader inspired followers of the abolitionist movement by —
This leader inspired followers of the abolitionist movement by —

1
Which constitutional principle is Jefferson referring to in this excerpt?
Which constitutional principle is Jefferson referring to in this excerpt?

1
Which of the following best completes this illustration?
Which of the following best completes this illustration?
1
Which of the following is the best example of an early U.S. struggle to define the domestic authority of the central government?
Which of the following is the best example of an early U.S. struggle to define the domestic authority of the central government?

1
Those who agreed with this point of view were known as —
Those who agreed with this point of view were known as —
1
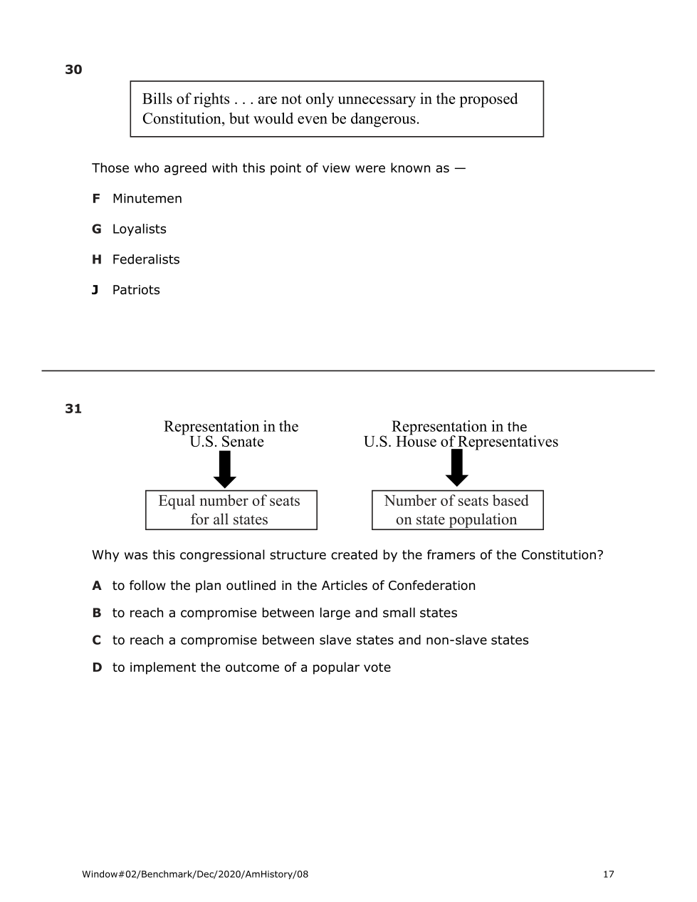
Why was this congressional structure created by the framers of the Constitution?
Why was this congressional structure created by the framers of the Constitution?

1
Between 1846 and 1855, the population of Ireland decreased by a third, including the approximately 1.5 million Irish immigrants who left for the United States. What was the primary reason for this migration?
Between 1846 and 1855, the population of Ireland decreased by a third, including the approximately 1.5 million Irish immigrants who left for the United States. What was the primary reason for this migration?
1
This statement is most likely from a handbook designed to prepare citizens for —
This statement is most likely from a handbook designed to prepare citizens for —

1
How did President Lincoln succeed in permanently abolishing the practice represented by the tree in this cartoon?
How did President Lincoln succeed in permanently abolishing the practice represented by the tree in this cartoon?

1
What was the purpose of this amendment?
What was the purpose of this amendment?
1
The reform efforts of Dorothea Dix during the mid-nineteenth century led to —
The reform efforts of Dorothea Dix during the mid-nineteenth century led to —

1
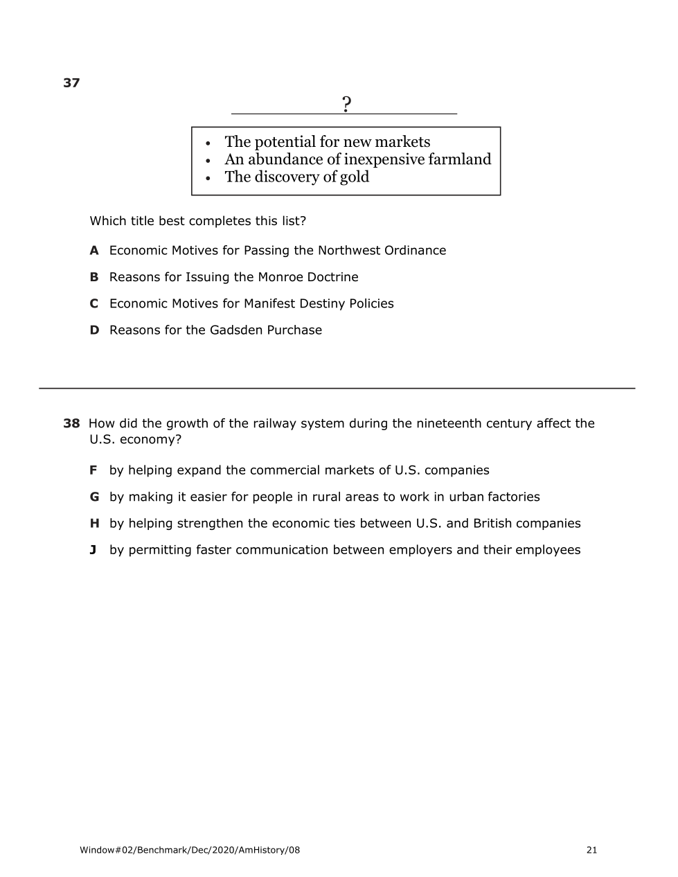
Which title best completes this list?
Which title best completes this list?
1
How did the growth of the railway system during the nineteenth century affect the U.S. economy?
How did the growth of the railway system during the nineteenth century affect the U.S. economy?

1
The actions described in this excerpt were carried out in order to —
The actions described in this excerpt were carried out in order to —
1
What was the fundamental question addressed in each of these congressional acts?
What was the fundamental question addressed in each of these congressional acts?

1
Which diagram correctly compares two regions of the United States during the midnineteenth century?
Which diagram correctly compares two regions of the United States during the midnineteenth century?

1
Which law would be considered unconstitutional on the basis of First Amendment guarantees?
Which law would be considered unconstitutional on the basis of First Amendment guarantees?
1
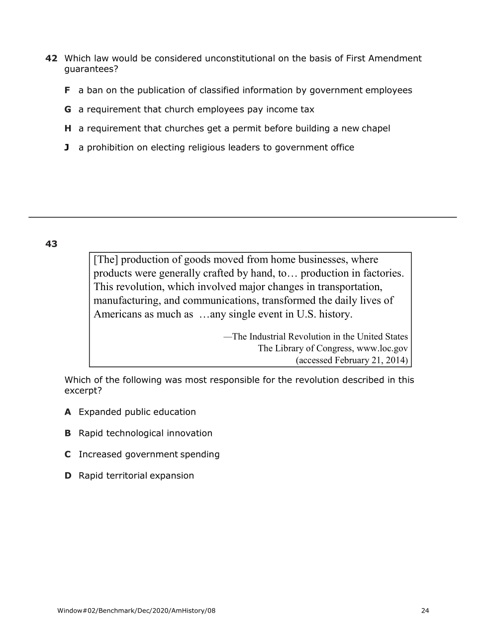
Which of the following was most responsible for the revolution described in this excerpt?
Which of the following was most responsible for the revolution described in this excerpt?

1
Why did Congress honor this woman by putting her on a coin?
Why did Congress honor this woman by putting her on a coin?
