Log in
Sign up for FREE
arrow_back
Library

DM kratki odgovori 2017J

star
star
star
star
star
Last updated over 1 year ago
16 questions
1
1
1
1
1
1
1
1
1
1
1
1
1
1
1
1
Question 1
1.

Izračunajte
Rješenje zaokružite na tri decimale.

Question 2
2.

Čemu je jednako B ako je

Question 3
3.

Broj 1293 zaokružite na tisućice.

Question 4
4.

Nakon poskupljenja od 4 % cijena litre goriva iznosi 8.84 kn. Kolika je bila cijena litre goriva prije poskupljenja?

Question 5
5.

Riješite jednadžbu 1.8x + 2(x − 3) +1.2 = 9 + 3x.

Question 6
6.

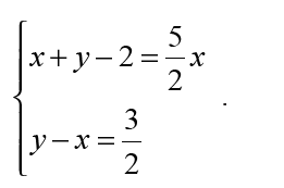
Koliko iznosi nepoznanica x iz sustava jednadžbi?

Question 7
7.

Izračunajte duljinu najdulje stranice trokuta ABC prikazanoga u koordinatnome sustavu.

Rezultat zaokružite na dvije decimale.

Question 8
8.

Zadana je kvadratna funkcija. Odredite maksimalnu vrijednost funkcije f.

Question 9
9.

Riješite nejednadžbu

Question 10
10.

Riješite jednadžbu

Question 11
11.

Brat i sestra zajedno imaju 51 godinu. Brat će za tri godine imati onoliko godina koliko sestra ima sada. Prije koliko je godina brat navršio 18 godina?

Question 12
12.

Pomnožite izraze a + 3 i a − 2 i od umnoška oduzmite kvadrat broja a . Dobiveni izraz pojednostavnite do kraja.

Question 13
13.

Boris je tijekom sedam dana trčao prosječno 5 km dnevno. Ako je svaki dan trčao najmanje 3.5 km, koliko je najviše kilometara mogao trčati u nekome danu?

Question 14
14.

Znanstvenici su ustanovili da je broj glasanja cvrčka u minuti (B) linearno ovisan o temperaturi zraka (T). Od broja glasanja cvrčka u minuti treba oduzeti 40, a dobiveni broj podijeliti sa 7 i dodati 10 da se dobije temperatura zraka. Napišite izraz koji povezuje broj glasanja cvrčka s temperaturom zraka. B(T)= ?

Question 15
15.

Biciklist B i automobilist A krenuli su istodobno iz različitih mjesta jedan ususret drugomu vozeći ravnom cestom. Biciklist je krenuo iz škole. Grafovi prikazuju ovisnost udaljenosti o vremenu biciklista i automobilista od škole. Udaljenost s izražena je u kilometrima, a vrijeme t mjereno od početka kretanja u minutama.


Koliko iznosi početna udaljenost između biciklista i automobilista?

Question 16
16.

Biciklist B i automobilist A krenuli su istodobno iz različitih mjesta jedan ususret drugomu vozeći ravnom cestom. Biciklist je krenuo iz škole. Grafovi prikazuju ovisnost udaljenosti o vremenu biciklista i automobilista od škole. Udaljenost s izražena je u kilometrima, a vrijeme t mjereno od početka kretanja u minutama.

Koliko je vremena prošlo između njihova dvaju susreta?