Log in
Sign up for FREE
arrow_back
Library

DM-višestruki odgovori - ljeto 2015

star
star
star
star
star
Last updated over 1 year ago
16 questions
1
1
1
1
1
1
1
1
1
1
1
1
2
2
2
2
Question 1
1.

Kojemu od navedenih intervala pripada broj 7?

Question 2
2.

Koja je od navedenih tvrdnja točna?

Question 3
3.

Koja je vrijednost izraza

Question 4
4.

Borna i Marko istodobno rješavaju ispit iz Matematike. Borna je ispit riješio za 1 sat i 53 minute,
a Marko za 2 sata i 5 minuta. Koja je od navedenih tvrdnja točna?

Question 5
5.

Kolika je udaljenost točaka A(−3,−1) i B(2,3) ?

Question 6
6.

Koja je točka nultočka funkcije f (x) = 3x +15 ?

Question 7
7.

Koja od navedenih nejednadžba ima isti skup rješenja kao nejednadžba − 5x + 2 ≤ 1?

Question 8
8.

Mesar priprema smjesu za kobasice od svinjskoga i junećega mesa u omjeru 4 : 3.
Koliko je ukupno mesa upotrijebio za kobasice ako je u smjesi 12 kg junećega mesa?

Question 9
9.

Koja od navedenih jednadžba predstavlja pravac s koeficijentom smjera k = −2?

Question 10
10.

Koji je realan broj x rješenje jednadžbe 0.1x = 100−2 ?

Question 11
11.

Dobit neke obrtničke radionice D u kunama izražena je formulom D(n) = −2n2 +1510n , gdje je n broj prodanih proizvoda. Kolika je dobit te obrtničke radionice ako je prodano 745 proizvoda?

Question 12
12.

Koja dužina predstavlja visinu uspravne piramide prikazane na skici?

Question 13
13.

Koja slika prikazuje grafičko rješenje sustava jednadžba 3x − y + 3 = 0 i x − 3y − 3 = 0 ?

Question 14
14.

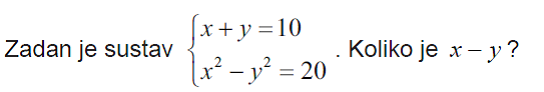
Question 15
15.

Ručnik pravokutnoga oblika ima duljinu 100 cm i širinu 70 cm. Pri prvome pranju ručnik se skuplja 2 % po duljini i 3 % po širini. Za koliko će se posto smanjiti površina ručnika nakon prvoga pranja?

Question 16
16.

Na slikama su prikazane po tri centilne krivulje rasta za djevojčice i za dječake kojima se prati njihov razvoj.

Primjerice, djevojčica dobi od 13 godina i visine 140 cm je na 5. centilu krivulje rasta. To znači da je 95 % djevojčica iste dobi više od nje, a samo 5 % djevojčica iste dobi niže je od nje. Koja je tvrdnja točna za dječaka koji je na 95. centilu krivulje rasta?

Samo je 5 % dječaka dobi od 12 godina više od 165 cm