Log in
Sign up for FREE
arrow_back
Library

Dm - kratki odgovori jesen 2015

star
star
star
star
star
Last updated over 1 year ago
16 questions
1
1
1
1
1
1
1
1
1
1
1
1
1
1
1
1
Question 1
1.

Koliko je 6.5 % od 900?

Question 2
2.

Za koji je broj x vrijednost izraza −7.14 − 0.05(x −1) jednaka −7.54 ?

Question 3
3.

Riješite kvadratnu jednadžbu
i napišite njezino manje rješenje. (Napomena: rješenje napišite u decimalnom obliku zaokruženo na jednu decimalu)

Question 4
4.

Riješite nejednadžbu

Question 5
5.

Prikažite izraz
u obliku razlomka skraćenoga do kraja.

Question 6
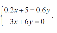
6.

Odredite vrijednost x u rješenju sustava jednadžba

Question 7
7.

Riješite jednadžbu

Question 8
8.

Zadana je funkcija
U kojoj točki graf te funkcije siječe os x ?

Question 9
9.

Na dijagramu su prikazani osobni dohodci za prva četiri mjeseca u godini.
9.1 Koliki je prosječni osobni dohodak u ta četiri mjeseca?

Question 10
10.

9.2. Za koliko je posto povećan dohodak u travnju u odnosu na ožujak? Rezultat zaokružite na dvije decimale.

Question 11
11.

Ekološka udruga je 2010. godine provela istraživanje o kakvoći zraka. Broj molekula ugljikova monoksida na milijun molekula zraka (M ) procjenjuje se prema formuli
gdje je t broj godina proteklih od 2010. godine. Koliki je procijenjeni broj molekula ugljikova monoksida na milijun molekula zraka za 2026. godinu?

Question 12
12.

Ekološka udruga je 2010. godine provela istraživanje o kakvoći zraka. Broj molekula ugljikova monoksida na milijun molekula zraka (M ) procjenjuje se prema formuli
gdje je t broj godina proteklih od 2010. godine. Koje će godine prema toj procjeni biti najmanji broj molekula ugljikova monoksida na milijun molekula zraka?

Question 13
13.

Pravilna uspravna četverostrana piramida ima osnovni brid duljine 20 dm. Visina pobočke (bočne strane) piramide iznosi 22 dm. Koliko je oplošje te piramide?

Question 14
14.

Pravilna uspravna četverostrana piramida ima osnovni brid duljine 20 dm. Visina pobočke (bočne strane) piramide iznosi 22 dm. Koliki je obujam te piramide? Rezultat zaokružite na dvije decimale

Question 15
15.

Znakovi za uzbunjivanje stanovništva emitiraju se putem sirena. Upozorenje za nadolazeću opasnost oglašava se kombinacijom jednoličnih (J) i zavijajućih (Z) tonova na način: JZJZJ. Trajanje svakoga pojedinog tona je 20 sekundi. Jednoga dana u 8 sati 12 minuta i 35 sekundi oglasila se sirena upozorenjem za nadolazeću opasnost. Nakon 5 minuta stanke isto se upozorenje ponovilo. Kada je završilo to ponovljeno upozorenje za nadolazeću opasnost? Odgovor zapišite u obliku: _____ h _____ min _____ s

Question 16
16.

Cijene usluga triju taksi-prijevoznika prikazane su u tablici.
Napišite formulu prema kojoj se računa cijena usluge prijevoza taksijem B. Upotrijebite oznaku x za broj prijeđenih kilometara, a oznaku y za cijenu usluge prijevoza (u kunama).