Log in
Sign up for FREE
arrow_back
Library

Unit 4 Review

star
star
star
star
star
Last updated almost 3 years ago
13 questions
1
A.APR.7
1
A.APR.7
1
1
1
1
1
1
Optional video on how to simplify a rational expression:
Question 1
1.

Consider the expression below. Use it to match the correct response(s) from the left with each item on the right.
Hint: The first step is to factor the denominator: x^2-x = x(x-1)

  • x ≠ -1
1
Question 2
2.
A.APR.7
1
Question 3
3.
A.APR.7
1
Question 4
4.
A.APR.7
Question 5
5.

Consider the expression below. Use it to match the correct response(s) from the left with each item on the right.

  • x ≠ -3
  • x ≠ -2
1
Question 6
6.
A.APR.7
A.SSE.1.a
…
1
Question 7
7.

A.APR.7
A.SSE.1.a
…
Optional video on how to solve a rational equation:
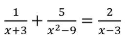
Question 8
8.

Solve the equation:

Check your answers against the restrictions!

Question 9
9.

Solve the equation:

Question 10
10.

Solve the equation:

Question 11
11.

Solve the equation:

Question 12
12.

Ryan can wash the dishes in 30 minutes, while it takes Blake 45 minutes to wash the dishes. They decide to compromise and wash the dishes together. #couplegoals

How long will it take them to wash the dishes? Make sure to include units in your answer.

Question 13
13.

Gabby and Hanna are making 200 signs for the Carlsbad marathon to hang up around town. Gabby can make 1 sign every 4 minutes, and Hanna can make 1 sign every 3 minutes. How long will it take them to make all 200 signs if they work together?
Round to the nearest tenth.

x ≠ 0
x ≠ 1
x ≠ 2
What is the sum of the two rational expressions in simplest form?
Identify any restriction(s) on the variable.
B
C
D
B
C
D
B
C
D
x ≠ 0
x ≠ 2
x ≠ 3
What is the quotient in simplest form?
Identify any restriction(s) on the variable.
B
C
D
That's a division symbol. Remember Keep, Change, Flip!
A
B
C
D