Log in
Sign up for FREE
arrow_back
Library

Unit 4 Test

star
star
star
star
star
Last updated almost 3 years ago
12 questions
1
1
1
3
2
2
2
2
1
1
2
2
Question 1
1.

Question 2
2.

Find the Least Common Denominator for:

Question 3
3.

What do we need to do when dividing rational expressions?

Question 4
4.

Question 5
5.

Multiply. Do not include the restrictions.

Question 6
6.

Divide. Do not include the restrictions.

Question 7
7.

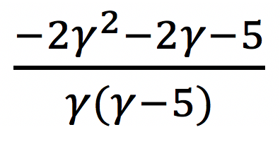
Add. Do not include the restrictions.

Question 8
8.

Solve the equation. Be sure to check your solutions against the restricted values.

Question 9
9.

Solve the equation. Be sure to check your solutions against the restricted values.

Question 10
10.

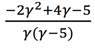
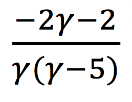
Subtract. Do not include the restrictions.

Question 11
11.

Huckleberry Finn can whitewash a fence in 6 hours. His friend Tom Sawyer
can whitewash a fence in 3 hours. If they work together, how long will it take
them to whitewash the fence?

Question 12
12.

Jessica and her friend are making 500 paper cranes for the town fair! Jessica can make 1 crane every 3 minutes, and her friend can make 1 crane every 2 minutes. How long will it take them to make all 500 cranes if they work together?

Select ALL of the restrictions:

x ≠ 0
x ≠ 3
x ≠ -2
x ≠ -3
x ≠ 1
x ≠ -1
x=-2