Log in
Sign up for FREE
arrow_back
Library
Credit Recovery Unit 3 AA
By PATRICK HIGGINS
star
star
star
star
star
Share
share
Last updated about 5 years ago
12 questions
Add this activity
1
1
1
1
1
1
1
1
1
1
1
1
Question 1
1.
visibility
View drawing
Question 2
2.
What is the vertex of the function
(1, 2)
(-1, 2)
(-1, -2)
(1, -2)
Question 3
3.
Question 4
4.
Write the equation that is the translation of
left 1 unit and up 2 units
Question 5
5.
Circle the correct graph with asymptotes for the function:
visibility
View drawing
Question 6
6.
Write an equation for the translation of:
that has asymptotes x = -8 and y = 6
Question 7
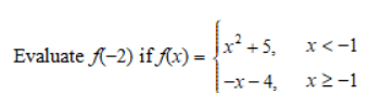
7.
9
1
-2
-6
Question 8
8.
visibility
View drawing
Question 9
9.
Graph:
visibility
View drawing
Question 10
10.
Graph:
visibility
View drawing
Question 11
11.
Write the answers in the space provided :
visibility
View drawing
Question 12
12.
Write your answers in the space provided:
visibility
View drawing