Log in
Sign up for FREE
arrow_back
Library

A6-1 Synch Zero Product Property

star
star
star
star
star
Last updated almost 5 years ago
14 questions
1
1
1
1
1
1
1
1
1
1
1
1
1
1
Question 1
1.

What is the factored form of the quadratic below?

Watch the very short video below to get a quick reminder of how to factor.
Question 2
2.

What is the factored form of

Question 3
3.

What is the factored form of

Question 4
4.

What is the factored form of

We'll be working today with graphs of quadratics with the end goal of solving quadratic equations (just a heads up, it's almost nothing like solving linear equations). To make sure we all have some common vocabulary, check the picture below. If the picture doesn't make sense to you, watch the video that follows.
Question 5
5.

What are the x-intercepts of the graph below?

Type your answer like this: (___,0) and (____,0) and list them from left to right ---->

Question 6
6.

What are the x-intercepts of the graph below?


Type your answer like this: (___,0) and (____,0) and list them from left to right ---->

Question 7
7.

What are the x-intercepts of the graph below?


Type your answer like this: (___,0) and (____,0) and list them from left to right ---->

Question 8
8.

Question 9
9.

Solve the equation below.
0=2x
What do you get when you divide both sides by 2?

Question 10
10.

What do you get if you multiply any number by zero?

Question 11
11.

So, if two factors multiply to equal zero, then it must be true that at least one of them equals...

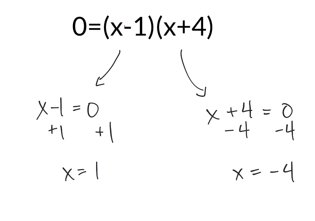
We'll wrap this all up with a nice bow towards the end, but keep an eye out for patterns as we go through the next bit. Use the example below (video to follow if you need it) to solve the next three problems.
Question 12
12.

Solve the equation below.
Note- the =0 can be at the end or 0= at the beginning, so don't let that confuse you.
Type your answer as x=___ and x=___

Question 13
13.

Solve the equation below.
Note- the =0 can be at the end or 0= at the beginning, so don't let that confuse you.
Type your answer as x=___ and x=___

Question 14
14.

Solve the equation below.
Note- the =0 can be at the end or 0= at the beginning, so don't let that confuse you.
Type your answer as x=___ and x=___

Look through the three images below. The standard form and factored form of each equation is are in the first image, followed by the step where we set each factor equal to zero, then the x-intercepts of each. What pattern do you notice? Think about why it makes sense in the middle row to set the y-value equal to zero.
Wrapping it all up in a nice, pretty bow:
Zero Product Property Notes- WRITE THIS DOWN SOMEWHERE YOU'LL BE ABLE TO FIND IT! Once again, if the notes make sense, great! If not, there's a video to follow.
That's the investigation for today! Be sure to do the A6-1 Practice either today or next asynch class.
Look at the picture below.

Some coordinates have been added to points that are on the axis. Notice that all of their y-values equal zero. Is it safe to say that any point on the x-axis will have a y-value of zero?
Yes
No
Not enough information