Log in
Sign up for FREE
arrow_back
Library

APS23-2 One-sample t procedures

star
star
star
star
star
Last updated almost 5 years ago
14 questions
1
1
1
1
1
1
1
1
1
1
1
1
1
1
For any answer that requires numbers or intervals typed in, round to three decimal places and do not add spaces.
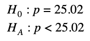
A company with a large fleet of cars hopes to keep gasoline costs down and sets a goal of attaining a fleet average of at least 26 miles per gallon. To see if this goal is being met they check the gasoline usage for 50 company trips chosen at random, finding a mean of 25.02 mpg and a standard deviation of 4.83. Is this strong evidence that they have failed to attain their fuel economy goal?
Question 1
1.

A company with a large fleet of cars hopes to keep gasoline costs down and sets a goal of attaining a fleet average of at least 26 miles per gallon. To see if this goal is being met they check the gasoline usage for 50 company trips chosen at random, finding a mean of 25.02 mpg and a standard deviation of 4.83. Is this strong evidence that they have failed to attain their fuel economy goal?

On which parameter are we running a hypothesis test?

Question 2
2.

A company with a large fleet of cars hopes to keep gasoline costs down and sets a goal of attaining a fleet average of at least 26 miles per gallon. To see if this goal is being met they check the gasoline usage for 50 company trips chosen at random, finding a mean of 25.02 mpg and a standard deviation of 4.83. Is this strong evidence that they have failed to attain their fuel economy goal?

What are the appropriate hypotheses?

Question 3
3.

A company with a large fleet of cars hopes to keep gasoline costs down and sets a goal of attaining a fleet average of at least 26 miles per gallon. To see if this goal is being met they check the gasoline usage for 50 company trips chosen at random, finding a mean of 25.02 mpg and a standard deviation of 4.83. Is this strong evidence that they have failed to attain their fuel economy goal?

Which is true about the Nearly Normal condition?

Question 4
4.

A company with a large fleet of cars hopes to keep gasoline costs down and sets a goal of attaining a fleet average of at least 26 miles per gallon. To see if this goal is being met they check the gasoline usage for 50 company trips chosen at random, finding a mean of 25.02 mpg and a standard deviation of 4.83. Is this strong evidence that they have failed to attain their fuel economy goal?

How many degrees of freedom are there?

Question 5
5.

A company with a large fleet of cars hopes to keep gasoline costs down and sets a goal of attaining a fleet average of at least 26 miles per gallon. To see if this goal is being met they check the gasoline usage for 50 company trips chosen at random, finding a mean of 25.02 mpg and a standard deviation of 4.83. Is this strong evidence that they have failed to attain their fuel economy goal?

What is value of the t-statistic?

Question 6
6.

A company with a large fleet of cars hopes to keep gasoline costs down and sets a goal of attaining a fleet average of at least 26 miles per gallon. To see if this goal is being met they check the gasoline usage for 50 company trips chosen at random, finding a mean of 25.02 mpg and a standard deviation of 4.83. Is this strong evidence that they have failed to attain their fuel economy goal?

What is the P-value?

Question 7
7.

A company with a large fleet of cars hopes to keep gasoline costs down and sets a goal of attaining a fleet average of at least 26 miles per gallon. To see if this goal is being met they check the gasoline usage for 50 company trips chosen at random, finding a mean of 25.02 mpg and a standard deviation of 4.83. Is this strong evidence that they have failed to attain their fuel economy goal?

What should we conclude based on a significance level of .05?

What are the chances your flight will leave on time? The U.S. Bureau of Transportation Statisitics of the Department of Transportation publishes information about airline performance. Below is the histogram and summary statistics for the percentage of flights departing on time each month from 1996-2006.

Question 8
8.

What are the chances your flight will leave on time? The U.S. Bureau of Transportation Statisitics of the Department of Transportation publishes information about airline performance. Below is the histogram and summary statistics for the percentage of flights departing on time each month from 1996-2006.
What is true about the Nearly Normal condition?

Question 9
9.

What are the chances your flight will leave on time? The U.S. Bureau of Transportation Statisitics of the Department of Transportation publishes information about airline performance. Below is the histogram and summary statistics for the percentage of flights departing on time each month from 1996-2006.
Create a 90% confidence interval for the true mean percentage of flights that depart on time.

Question 10
10.

Conclude your interval.

Hoping to lure more shoppers downtown, a city builds a new public parking garage in the central business district. The city plans to pay for the structure through parking fees. During a two-month period (44 weekdays), daily fees collected averaged $126, with a standard deviation of $15.
Question 11
11.

Hoping to lure more shoppers downtown, a city builds a new public parking garage in the central business district. The city plans to pay for the structure through parking fees. During a two-month period (44 weekdays), daily fees collected averaged $126, with a standard deviation of $15.

Have the conditions for inference been met?

Question 12
12.

Hoping to lure more shoppers downtown, a city builds a new public parking garage in the central business district. The city plans to pay for the structure through parking fees. During a two-month period (44 weekdays), daily fees collected averaged $126, with a standard deviation of $15.

Find the 95% confidence interval for the mean daily income this parking garage will generate.

Question 13
13.

Hoping to lure more shoppers downtown, a city builds a new public parking garage in the central business district. The city plans to pay for the structure through parking fees. During a two-month period (44 weekdays), daily fees collected averaged $126, with a standard deviation of $15.

The city estimates that it needs to collect an average of at least $130 per day in order to pay for itself. Does your interval provide evidence that the daily average would be greater than $130?

Question 14
14.

The U.S. Census Bureau reports the 26% of all U.S. businesses are owned by women. A Colorado consulting firm surveys a random sample of 410 businesses in the Denver area and finds that 115 of them have women owners. Should the firm conclude that this area is unusal?

What inference procedure should we use?

Because the p-value is greater than alpha, we fail to reject the null. There is evidence that they have failed to attain their fuel economy goal.
1-sample t-test
1-sample t-interval
1-proportion z-test
1-proportion z-interval
2-proportional z-test
2-proportion z-interval