02 - Solving Systems Using Elimination Day 1
star
star
star
star
star
Last updated over 4 years ago
21 questions
1
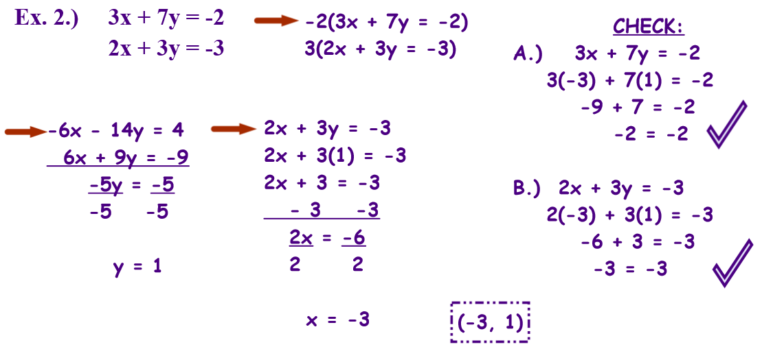
Solve the system of equations below algebraically using the elimination method.
x + y = 262x - y = 16
Solve the system of equations below algebraically using the elimination method.
x + y = 26
2x - y = 16
1
What is the solution to the system of equations below?
4x + 5y = 14-4x - 3y = -10
What is the solution to the system of equations below?
4x + 5y = 14
-4x - 3y = -10
1
Solve the system of equations below algebraically using the elimination method.
5x - 7y = 17-9x - 7y = -11
Solve the system of equations below algebraically using the elimination method.
5x - 7y = 17
-9x - 7y = -11
1
What is the solution to the system of equations below?
2x - y = 93x + 4y = -14
What is the solution to the system of equations below?
2x - y = 9
3x + 4y = -14
1
What is the solution to the system of equations below?
3x - y = 8x + 2y = 5
What is the solution to the system of equations below?
3x - y = 8
x + 2y = 5
1
Solve the system of equations below algebraically using the elimination method.
x + y = 64x + 5y = 8
Solve the system of equations below algebraically using the elimination method.
x + y = 6
4x + 5y = 8
1
What is the solution to the system of equations below?
2x - y = 93x + 4y = -14
What is the solution to the system of equations below?
2x - y = 9
3x + 4y = -14
1
What is the solution to the system of equations below?
4x + y = 24-x + 2y = -6
What is the solution to the system of equations below?
4x + y = 24
-x + 2y = -6
1
Solve the system of equations below algebraically using the elimination method.
5x + y = 910x - 7y = -18
Solve the system of equations below algebraically using the elimination method.
5x + y = 9
10x - 7y = -18
1
Solve the system of equations below algebraically using the elimination method.
-4x + 9y = 9x - 3y = -6
Solve the system of equations below algebraically using the elimination method.
-4x + 9y = 9
x - 3y = -6
1
What is the solution to the system of equations below?
-3x + 7y = -16-9x + 5y = 16
What is the solution to the system of equations below?
-3x + 7y = -16
-9x + 5y = 16
1
What is the solution to the system of equations below?
-7x + y = -19-2x + 3y = -19
What is the solution to the system of equations below?
-7x + y = -19
-2x + 3y = -19
1
What is the solution to the system of equations below?
3x - 7y = 5-5x + 9y = 5
What is the solution to the system of equations below?
3x - 7y = 5
-5x + 9y = 5
1
Solve the system of equations below algebraically using the elmination method.
7x - 6y = -15x - 4y = 1
Solve the system of equations below algebraically using the elmination method.
7x - 6y = -1
5x - 4y = 1
1
What is the solution to the system of equations below?
7x + 3y = -122x + 5y = 38
What is the solution to the system of equations below?
7x + 3y = -12
2x + 5y = 38
1
Solve the system of equations below algebraically using the elmination method.
4x + 5y = 35-3x + 2y = -9
Solve the system of equations below algebraically using the elmination method.
4x + 5y = 35
-3x + 2y = -9
1
Please upload a picture of your work here if you did not show the work in the space provided for each problem.
Please upload a picture of your work here if you did not show the work in the space provided for each problem.
1
Please upload a picture of your work here if you did not show the work in the space provided for each problem.
Please upload a picture of your work here if you did not show the work in the space provided for each problem.
1
Please upload a picture of your work here if you did not show the work in the space provided for each problem.
Please upload a picture of your work here if you did not show the work in the space provided for each problem.
1
Please upload a picture of your work here if you did not show the work in the space provided for each problem.
Please upload a picture of your work here if you did not show the work in the space provided for each problem.
1
Please upload a picture of your work here if you did not show the work in the space provided for each problem.
Please upload a picture of your work here if you did not show the work in the space provided for each problem.