Log in
Sign up for FREE
arrow_back
Library
HML Algebra Lesson 7.1 Homework
By Zac Coughlin
star
star
star
star
star
Share
share
Last updated about 5 years ago
6 questions
Add this activity
1
Question 1
1.
visibility
View drawing
1
1
1
1
1
Tell whether the ordered pair is a solution of the linear system.
(-2, 1)
6x + 5y = -7
x - 2y = 0
Question 2
2.
Use the graph to solve the linear system. Check your solution.
visibility
View drawing
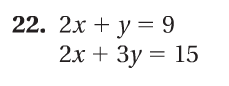
Question 3
3.
visibility
View drawing
Question 4
4.
Solve the linear equation by graphing. Check your solution.
visibility
View drawing
Question 5
5.
Graph the linear system. Check your solution.
visibility
View drawing
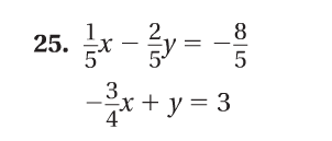
Question 6
6.
visibility
View drawing