Log in
Sign up for FREE
arrow_back
Library
HML Algebra Lesson 7.2 Homework
By Zac Coughlin
star
star
star
star
star
Share
share
Last updated about 5 years ago
7 questions
Add this activity
1
1
1
1
1
1
1
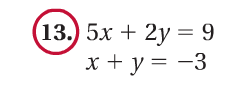
Question 1
1.
Solve the linear system using substitution.
visibility
View drawing
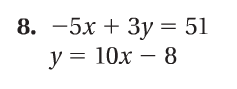
Question 2
2.
Solve the linear system using substitution.
visibility
View drawing
Question 3
3.
Solve the linear system using substitution.
visibility
View drawing
Question 4
4.
visibility
View drawing
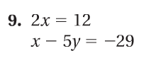
Question 5
5.
Solve the linear system using substitution.
visibility
View drawing
Question 6
6.
visibility
View drawing
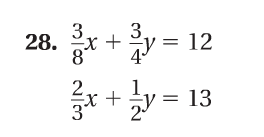
Question 7
7.
visibility
View drawing