Log in
Sign up for FREE
arrow_back
Library
Definition of the Derivative (Part II)
By Genene Cook
star
star
star
star
star
Share
share
Last updated almost 5 years ago
12 questions
Add this activity
1
2
3
4
5
6
zoom_in
1 point
1
Question 1
1.
1 point
1
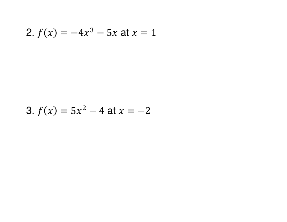
Question 2
2.
1 point
1
Question 3
3.
1 point
1
Question 4
4.
1 point
1
Question 5
5.
1 point
1
Question 6
6.
7
8
9
10
11
12
zoom_in
1 point
1
Question 7
7.
1 point
1
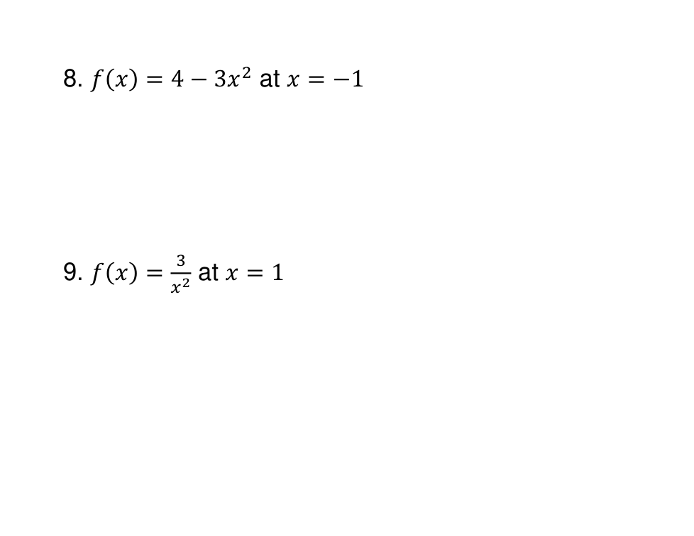
Question 8
8.
1 point
1
Question 9
9.
1 point
1
Question 10
10.
1 point
1
Question 11
11.
1 point
1
Question 12
12.