Log in
Sign up for FREE
arrow_back
Library
3.07 More Polynomial Division
By Ms. DuBois
star
star
star
star
star
Share
share
Last updated over 1 year ago
13 questions
Add this activity
1
2
3
4
zoom_in
1
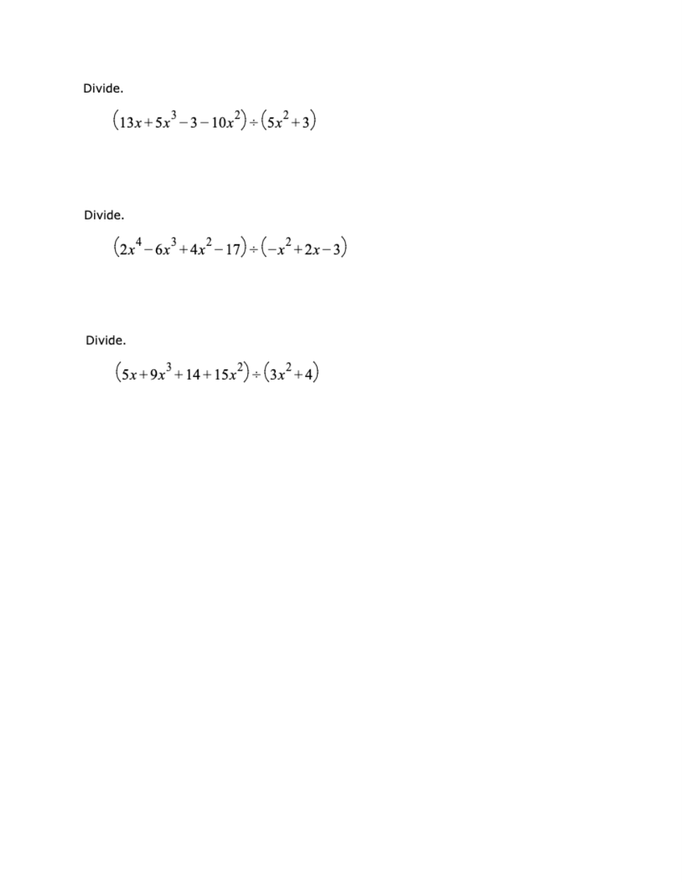
Question 1
1.
visibility
View drawing
1
Question 2
2.
visibility
View drawing
1
Question 3
3.
visibility
View drawing
1
5
6
7
8
9
10
zoom_in
1
Question 5
5.
visibility
View drawing
1
Question 6
6.
visibility
View drawing
1
1
1
1
11
12
13
zoom_in
1
Question 11
11.
visibility
View drawing
1
Question 12
12.
visibility
View drawing
1
Question 13
13.
visibility
View drawing
Question 4
4.
visibility
View drawing
Question 7
7.
visibility
View drawing
Question 8
8.
visibility
View drawing
Question 9
9.
visibility
View drawing
Question 10
10.
visibility
View drawing