Log in
Sign up for FREE
arrow_back
Library

Summative 6.3, 6.4, and 6.5, Acc Chem

star
star
star
star
star
Last updated over 5 years ago
14 questions
Note from the author:
1
HS-PS1-4
1
HS-PS1-3
1
HS-PS1-1
1
1
1
HS-PS1-1
1
HS-PS1-1
1
1
1
1
HS-PS1-3
1
HS-PS1-3
1
HS-PS1-3
1
HS-PS1-1
Summative of molecular geometry (VSPER) and intermolecular forces
Question 1
1.

Question 2
2.

Question 3
3.

Question 4
4.

Question 5
5.

Question 6
6.

Use the valence-shell electron-pair repulsion (VSEPR) theory to determine the geometry of Carbon Tetrachloride (CCl4).

Question 7
7.

Question 8
8.

Use the valence-shell electron-pair repulsion (VSEPR) theory to determine the geometry of PBr3.

Question 9
9.

Use the valence-shell electron-pair repulsion (VSEPR) theory to predict the geometry of boron trichloride (BCl3). HINT: B does NOT obey the octet rule.

Question 10
10.

Question 11
11.

Question 12
12.

Question 13
13.

Question 14
14.

Use the valence-shell electron-pair repulsion (VSEPR) theory to determine the molecular geometry of Dihydrogen Monoxide (H2O).
Tetrahedral
Trigonal planar
Bent
Linear
Which molecule does NOT have a dipole moment?
SO2
CHCl3
NH3
CCl4
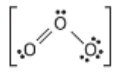
While researching the ozone (O3) layer surrounding the Earth, Ling found that chemists represent the Lewis dot structure of O3 using 2 resonance forms that obey the octet rule. Which structure is one of the resonance structures of O3?
Hydrogen sulfide (H2S) has a boiling point of −60.7°C, and water (H2O) has a boiling point of 100.0°C. Which statement best explains this difference in boiling points?
H2S has a larger heat of vaporization
H2S has stronger intermolecular van der Waals forces
H2O has a larger molar mass
H2O has stronger intermolecular hydrogen bonds
Which compound exhibits hydrogen bonding?
CH4
HF
BH3
HBr
Ethylene has the chemical structure H2C=CH2. Which statement describes the bonding hybridization between the 2 carbon (C) atoms in ethylene?
An sp3 -hybridized orbital
An sp2 -hybridized orbital
An sp -hybridized orbital
No Hybridization
Compare a triple bond to a single bond.
Triple bonds have more energy and are shorter than single bonds
Triple bonds have less energy and are longer than single bonds
Single bonds have more energy and are shorter than triple bonds
Single bonds have more energy and are longer than triple bonds
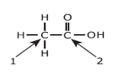
Acetic acid (C2H4O2) has 2 carbon (C) atoms, 1 and 2.
Which statement accurately describes the orbital geometries of Atom 1 and Atom 2?
Atom 1 is trigonal planar, while Atom 2 is tetrahedral.
Atom and Atom 2 are both trigonal planar.
Atom 1 is trigonal planar, while Atom 2 is tetrahedral
Atom 1 is tetrahedral, while Atom 2 is trigonal planar.
Which compound is the most polar?
SiCl4
H2O
CH4
CO2
Which one of the following would be considered to be nonpolar based on its structure?
The organic gas acetylene (C2H2) is used commercially to produce plastics. What would be the correct lewis structure for acetylene?