Log in
Sign up for FREE
arrow_back
Library

HW Unit 5 Quiz Review

star
star
star
star
star
Last updated almost 3 years ago
24 questions
1
1
1
1
1
1
1
1
1
1
1
1
1
1
1
1
1
1
1
1
1
1
1
1
Question 1
1.

Graph:

Question 2
2.

Graph:

Question 3
3.

Graph:

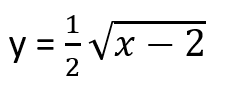
Question 4
4.

Write the equation for the graph:

Question 5
5.

What is the domain of this graph?

Question 6
6.

What is the range of this graph?

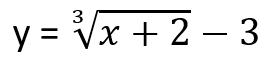
Question 7
7.

Write the equation for the graph:

Question 8
8.

What is the domain of this graph?

Question 9
9.

What is the range of this graph?

Question 10
10.

Write the equation for the graph:

Question 11
11.

What is the domain of this graph?

Question 12
12.

What is the range of this graph?

Question 13
13.

Draggable itemarrow_right_altCorresponding Item
arrow_right_alt
arrow_right_alt
arrow_right_alt
arrow_right_alt
arrow_right_alt
arrow_right_alt
Question 14
14.

Find the inverse of:
f(x)=2x-3
Write your answer using f^{-1}\left(x\right)

Question 15
15.

Find the inverse of:
f(x)=4x^3
Write your answer using f^{-1}\left(x\right)

Question 16
16.

Find the inverse of:
f(x)=x^2+7
Write your answer using f^{-1}\left(x\right)

Question 17
17.

A tsunami is a large ocean wave generated by an undersea earthquake. The formula for the speed s in miles per hour as a function of depth d of the ocean in meters is:

Determine the speed of a tsunami if the earthquake occurs in an area where the ocean is 10,000 meters deep.

Question 18
18.

(Hint: Carlsbad is 2600 miles from Honolulu)
Round to the nearest tenth.

Question 19
19.

Write the inverse function.
*Hint your answer should contain parentheses.
d(s)=

Question 20
20.

Paul the plumber charges $125 to come to your house, and then $55.50/hour of work. The cost (c) as a function of hours worked (h) is given by the function:

Find the inverse function so that it is written as hours as a function of cost h(c).


Question 21
21.

Use the inverse function to answer...
If Paul "the plumber" sends you a bill for $1,013.00 how many hours of work did he do at your house?

Question 22
22.

Which table shows the inverse of the table below?

Question 23
23.

The table in the previous problem represents the function f(x)=x^2. What is the inverse function?

Question 24
24.

The graph of f(x) is shown below. Graph f^-1(x).
Connect your points so it's a mirror image!

F
5.
A
6
C
7.
D
8.
B
9.
E
10.