Log in
Sign up for FREE
arrow_back
Library

Systems One, No, Or Infinite Solutions

star
star
star
star
star
Last updated almost 5 years ago
16 questions
1
1
1
1
1
1
1
1
1
1
1
1
1
1
1
1
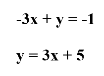
Question 1
1.

Solve the system of equations graphically.
Identify whether the system has one, infinitely many, or no solutions.

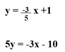
Question 2
2.

Solve the system of equations graphically.
Identify whether the system has one, infinitely many, or no solutions.

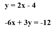
Question 3
3.

Solve the system of equations graphically.
Identify whether the system has one, infinitely many, or no solutions.

Question 4
4.

DIRECTIONS: Solve the systems of equations.
Identify whether the system has one, infinitely many, or no solutions.

-2x + 2y = -16
3x - 6y = 30

Question 5
5.

DIRECTIONS: Solve the systems of equations.
Identify whether the system has one, infinitely many, or no solutions.

5x + 3y = 6
-5x - 3y = 3

Question 6
6.

DIRECTIONS: Solve the systems of equations.
Identify whether the system has one, infinitely many, or no solutions.

45x + 30y = 465
15x + 10y = 155

Now, please complete these for homework. If you don't show work in the space provided with each question, please upload pictures of your work at the end of the assignment.

Question 7
7.

Solve the system of equations graphically.
Identify whether the system has one, infinitely many, or no solutions.

Question 8
8.

Solve the system of equations graphically.
Identify whether the system has one, infinitely many, or no solutions.

Question 9
9.

Solve the system of equations graphically.
Identify whether the system has one, infinitely many, or no solutions.

Question 10
10.

DIRECTIONS: Solve the systems of equations.
Identify whether the system has one, infinitely many, or no solutions.

-2x + y = -4
-6x + 3y = -12

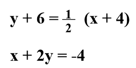
Question 11
11.

DIRECTIONS: Solve the systems of equations.
Identify whether the system has one, infinitely many, or no solutions.

x - y = -4
-3x + 3y = 2

Question 12
12.

DIRECTIONS: Solve the systems of equations.
Identify whether the system has one, infinitely many, or no solutions.

x - 3y = -9
x - y = -1

Question 13
13.

Please upload pictures of your work if you did not show work in the space provided.

Question 14
14.

Please upload pictures of your work if you did not show work in the space provided.

Question 15
15.

Please upload pictures of your work if you did not show work in the space provided.

Question 16
16.

Please upload pictures of your work if you did not show work in the space provided.