Log in
Sign up for FREE
arrow_back
Library
Functions Practice #3
By Michael Schmidt
star
star
star
star
star
Share
share
Last updated about 5 years ago
10 questions
Add this activity
1
1
1
1
1
1
1
1
1
1
Question 1
1.
Match the graph to the function (equation written in slope intercept form).
Draggable item
arrow_right_alt
Corresponding Item
arrow_right_alt
arrow_right_alt
arrow_right_alt
Question 2
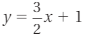
2.
Fill out the table for the following equation.
visibility
View drawing
Question 3
3.
Fill out the table for the following equation.
visibility
View drawing
Question 4
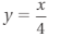
4.
Fill out the table for the following equation.
visibility
View drawing
Question 5
5.
Write a function rule for the following statement. (Slope intercept form)
Question 6
6.
Write a function rule for the following statement. (Slope intercept form)
Question 7
7.
Write a function rule for the following statement. (Slope intercept form)
Question 8
8.
Find the value of y for the given value of x.
Question 9
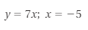
9.
Find the value of y for the given value of x.
Question 10
10.
What is the equation that describes this function?