Log in
Sign up for FREE
arrow_back
Library
ALG 4.3.2 Closure
By Curtis Kearney
star
star
star
star
star
Share
share
Last updated over 4 years ago
27 questions
Add this activity
8
zoom_in
1
1
2
zoom_in
1
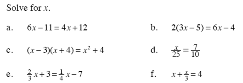
Question 1
1.
Check your answer with the sample answer at the end.
1
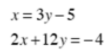
Question 2
2.
Check your answer with the sample answer at the end.
visibility
View drawing
3
4
zoom_in
1
Question 3
3.
Check your answer with the sample answer at the end.
1
Question 4
4.
Check your answer with the sample answer at the end.
visibility
View drawing
5
6
7
zoom_in
1
Question 5
5.
1
Question 6
6.
1
Question 7
7.
Question 8
8.
They were on rung number _____.
9
10
11
12
13
14
zoom_in
1
Question 9
9.
1
Question 10
10.
1
1
1
1
15
16
17
zoom_in
1
Question 15
15.
Estimate the solution
1
1
Question 17
17.
How accurate was your estimate?
18
19
20
zoom_in
1
1
Question 19
19.
Kenny will need ______t-shirts,
1
Question 20
20.
...and he will need ________ sweatshirts.
21
22
23
24
zoom_in
1
Question 21
21.
1
Question 22
22.
1
Question 23
23.
1
25
26
27
zoom_in
1
Question 25
25.
1
Question 26
26.
1
Question 27
27.
Question 11
11.
Question 12
12.
Question 13
13.
Question 14
14.
Question 16
16.
Select the equations of the two lines.
y = -3x - 4
y = x + 1
y = -2x + 5
y = 2x - 7/2
Question 18
18.
Which of the following eqautions would be correct for this sytstem?
9x + 5y = 180
180 - 9x + 5y = 0
x+ y = 18
9x + 5y = 18
Question 24
24.