Log in
Sign up for FREE
arrow_back
Library
Ch 6 Quiz
By Elizabeth Ludy
star
star
star
star
star
Share
share
Last updated over 5 years ago
2 questions
Add this activity
3
3
Question 1
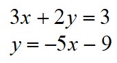
1.
Graph the system of equations. (1 point for each correct line, & 1 point for solution)
visibility
View drawing
Question 2
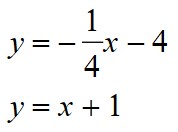
2.
Solve the system of equations. Show all work for credit!
visibility
View drawing