Log in
Sign up for FREE
arrow_back
Library
Ch 6 Quiz RT
By Elizabeth Ludy
star
star
star
star
star
Share
share
Last updated over 5 years ago
2 questions
Add this activity
1
1
Question 1
1.
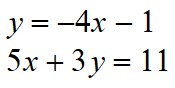
Solve the system of equations. Show work for credit
visibility
View drawing
Question 2
2.
Graph the system. (1 point for each correct line & 1 point for solution)
visibility
View drawing