Cumulative Review #7
star
star
star
star
star
Last updated over 4 years ago
20 questions
1
Which of the following equations is true?
Which of the following equations is true?
1
Which ordered pair is NOT in the solution set of the system of inequalities below?
Which ordered pair is NOT in the solution set of the system of inequalities below?
1
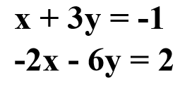
Which of the following systems of equations has an infinite number of solutions?
Which of the following systems of equations has an infinite number of solutions?
1
Which of the following describes the solution set of the inequality graphed below?
Which of the following describes the solution set of the inequality graphed below?
1
Solve for n:
Solve for n:
1
Using interval notation, write the solution set to the inequality below:
Using interval notation, write the solution set to the inequality below:
1
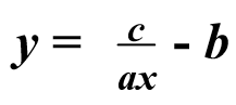
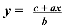
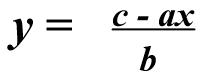
Solve for y: ax + by = c
Solve for y: ax + by = c
1
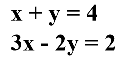
Which ordered pair represents a solution to this system of equations?
3x + 2y = 4-2x + 2y = 24
Which ordered pair represents a solution to this system of equations?
3x + 2y = 4
-2x + 2y = 24
1
Which expression has the least value?
Which expression has the least value?
1
Which graph shows a line where for the linear equation below?
Which graph shows a line where for the linear equation below?
1
To ride the Boulder Dash Roller Coaster at Lake Compounce, a person must be at least 4 feet tall.Using h, for height, which inequality represents this statement?
To ride the Boulder Dash Roller Coaster at Lake Compounce, a person must be at least 4 feet tall.
Using h, for height, which inequality represents this statement?
1
Write the expression below in simplest radical form.
Write the expression below in simplest radical form.
1
Solve the system of equations below.
x + 5y = 26-x + y = 4
What is the product of x and y ?
Solve the system of equations below.
x + 5y = 26
-x + y = 4
What is the product of x and y ?
1
Which equation represents a line that is parallel to the line whose equation is y = -3x - 7 ?
Which equation represents a line that is parallel to the line whose equation is y = -3x - 7 ?
1
Which expression is NOT equivalent to 32x + 28y ?
Which expression is NOT equivalent to 32x + 28y ?
1
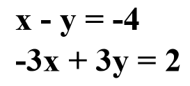
Which graph represents the solution of the system of inequalities below?
Which graph represents the solution of the system of inequalities below?
1
A line contains the points (-2, 5) and (3, -1).Which of the following could represent the equation of the line in point-slope form?
A line contains the points (-2, 5) and (3, -1).
Which of the following could represent the equation of the line in point-slope form?
1
What is the solution to the inequality below?
What is the solution to the inequality below?
1
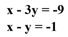
What is the solution to the system of equations graphed below?
What is the solution to the system of equations graphed below?
1
Which of the following is NOT a function?
Which of the following is NOT a function?