Log in
Sign up for FREE
arrow_back
Library
Algebra Equations Quiz
By Jenna Dwoskin
star
star
star
star
star
Share
share
Last updated almost 5 years ago
17 questions
Add this activity
1
1
1
1
1
1
1
1
1
1
1
1
1
1
1
1
1
Solve the following algebra equations. You must SHOW ALL WORK to receive credit!!!!!!
Question 1
1.
Question 2
2.
Question 3
3.
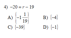
Question 4
4.
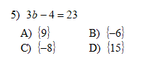
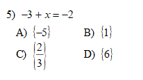
Question 5
5.
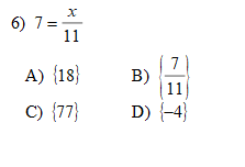
Question 6
6.
For the follwing word problems, write an equation with a variable that represents the problem. DO NOT SOLVE THE PROBLEMS!
Question 7
7.
Question 8
8.
Question 9
9.
Question 10
10.
Solve the following Two-Step Equations. SHOW ALL WORK to receive credit for these problems.
Question 11
11.
Question 12
12.
Question 13
13.
Question 14
14.
Question 15
15.
Question 16
16.
Question 17
17.
**Virtual Students--Send me a clear photo of your work with questions labeled. Or, upload the picture of your work here!!***
visibility
View drawing
A
B
C
D
A
B
C
D
A
B
C
D
A
B
C
D
A
B
C
D
A
B
C
D
A
B
C
D
A
B
C
D
A
B
C
D
A
B
C
D
A
B
C
D
A
B
C
D