Log in
Sign up for FREE
arrow_back
Library

Chapter 6 Test: V1

star
star
star
star
star
Last updated about 5 years ago
14 questions
2
1
1
3
2
1
1
1
2
1
1
1
1
4
Question 1
1.

Solve for y. Show all work for credit.

Question 2
2.

What kind of sequence is:

Question 3
3.

What is the next term in the sequence:

Question 4
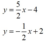
4.

Solve the system of equations by graphing.


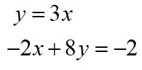
Question 5
5.

Solve the systems of equations. Box your answer.
of equations:

Question 6
6.

Team Synshine is emptying their pool which is modeled by the equation y = -50x + 800. Team Breese is filling their pool which is modeled by the equation y = 50x + 200. What is the solution to the system of equations?

Question 7
7.

What does the solution represent in the context of this situation?

Question 8
8.

Edith is using substitution to solve the system of equations below. What should the first step be? Coose the correct first step fro the choices below.

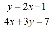
Question 9
9.

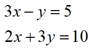
Solve this system of equations: Box your answer.

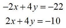
Question 10
10.

A variable needs to be eliminated to solve the system of equations below. Choose the correct first step(to eliminate the y variable).

Question 11
11.

The graph below provides information about two new tile patterns. When will both tile patterns have the same number of tiles? Explain your reasoning.

For the next section. Answer the questions based on the information below. For equations DO NOT USE SPACES.
WHO HAS A PRETTIER YARD?!
Nastazha and Katja each improved their yards by planting roses and carnations. They bought their
supplies from the same store. Nastazha spent $44 on 4 roses and 3 carnations. Let r be the number of roses and c the number of carnations they bought.
Question 12
12.

Write an equation in r and c forNastazha's costs.

Question 13
13.

Katja spent $78 on 6 roses and 6 carnations Write an equations in r and c for Katja's costs.

Question 14
14.

Use both of your equations to find the cost of one rose and the cost of one carnation.