Log in
Sign up for FREE
arrow_back
Library

APS24-2 Differences in Means

star
star
star
star
star
Last updated almost 5 years ago
12 questions
1
1
1
1
1
1
1
1
1
1
1
1
Question 1
1.

Resting pulse rates for a random sample of 26 smokers had a mean of 80 beats per minute (bpm) and a standard deviation of 5 bpm. Among 32 randomly chosen nonsmokers, the mean and standard deviation were 74 and 6 bpm. Both sets of data were roughly symmetric and had no outliers.

What is the parameter and its definition?

Question 2
2.

Resting pulse rates for a random sample of 26 smokers had a mean of 80 beats per minute (bpm) and a standard deviation of 5 bpm. Among 32 randomly chosen nonsmokers, the mean and standard deviation were 74 and 6 bpm. Both sets of data were roughly symmetric and had no outliers.

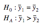
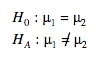
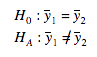
Is there evidence of a difference in mean pulse rates between smokers and nonsmokers? What Hypotheses would you test?
Let group 1 be smokers and group 2 be nonsmokers.

Question 3
3.

What conditions must be checked for a 2-sample t-test?

Question 4
4.

Question 5
5.

Resting pulse rates for a random sample of 26 smokers had a mean of 80 beats per minute (bpm) and a standard deviation of 5 bpm. Among 32 randomly chosen nonsmokers, the mean and standard deviation were 74 and 6 bpm. Both sets of data were roughly symmetric and had no outliers.

Is there evidence of a difference in mean pulse rates between smokers and nonsmokers?
Use your calculator to run a 2-sample t-test. What is the value of the t-statistic? (round to three decimals)

Question 6
6.

Resting pulse rates for a random sample of 26 smokers had a mean of 80 beats per minute (bpm) and a standard deviation of 5 bpm. Among 32 randomly chosen nonsmokers, the mean and standard deviation were 74 and 6 bpm. Both sets of data were roughly symmetric and had no outliers.

Is there evidence of a difference in mean pulse rates between smokers and nonsmokers?
Use your calculator to run a 2-sample t-test. What is the p-value? (round to five decimals)

Question 7
7.

Based on the p-value, we should

Question 8
8.

Question 9
9.

Resting pulse rates for a random sample of 26 smokers had a mean of 80 beats per minute (bpm) and a standard deviation of 5 bpm. Among 32 randomly chosen nonsmokers, the mean and standard deviation were 74 and 6 bpm. Both sets of data were roughly symmetric and had no outliers.

Create a 95% confidence interval to estimate the true difference in mean pulse rates. (round each part to three decimals)

Question 10
10.

Resting pulse rates for a random sample of 26 smokers had a mean of 80 beats per minute (bpm) and a standard deviation of 5 bpm. Among 32 randomly chosen nonsmokers, the mean and standard deviation were 74 and 6 bpm. Both sets of data were roughly symmetric and had no outliers.

Conclude your confidence interval from number 9.

Question 11
11.

If we want our results for our interval (95% confidence) and hypothesis test (2-sided alternative) to be consistent, what alpha level should we use for our hypothesis test?

Question 12
12.

Here are the saturated fat content (in grams) for several pizzas sold by two national chains. Is there a significant difference in the fat content of the brands? How big is the difference? Be sure that in checking the conditions, you plot both sets of data.


Complete a full hypothesis test. I'd recommend doing it on paper, taking a picture, and putting it on the "show your work" board.

Watch the video below to see how to check the nearly normal condition with your calculator and do all the "mechanics" for a 2-sample t-test and a 2-sample t-interval.
Watch this video for a rather sloppy and half-hearted explanation of the 2-sample t-test and 2-sample t-interval.
Nearly Normal
10% Condition (probably not needed for t-tests, but it doesn't hurt)

Resting pulse rates for a random sample of 26 smokers had a mean of 80 beats per minute (bpm) and a standard deviation of 5 bpm. Among 32 randomly chosen nonsmokers, the mean and standard deviation were 74 and 6 bpm. Both sets of data were roughly symmetric and had no outliers.

Is there evidence of a difference in mean pulse rates between smokers and nonsmokers?
What procedure will we complete?
1-prop z-test
1-prop z-interval
1-sample t-test
1-sample t-interval
2-prop z-test
2-prop z-interval
2-sample t-test
2-sample t-interval
Resting pulse rates for a random sample of 26 smokers had a mean of 80 beats per minute (bpm) and a standard deviation of 5 bpm. Among 32 randomly chosen nonsmokers, the mean and standard deviation were 74 and 6 bpm. Both sets of data were roughly symmetric and had no outliers.

Estimate the difference in the true mean pulse rates for smokers and nonsmokers.
What procedure will we complete?
1-prop z-test
1-prop z-interval
1-sample t-test
1-sample t-interval
2-prop z-test
2-prop z-interval
2-sample t-test
2-sample t-interval