U2L8: Solving Inverse Systems
star
star
star
star
star
Last updated over 4 years ago
5 questions
2
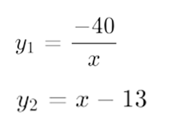
Solve this system. Give your answer in coordinate form (x,y) with a space between points.
Solve this system. Give your answer in coordinate form (x,y) with a space between points.
2
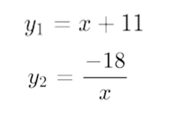
Solve this system. Give your answer in coordinate form (x,y) with a space between points.
Solve this system. Give your answer in coordinate form (x,y) with a space between points.
2
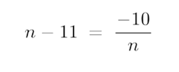
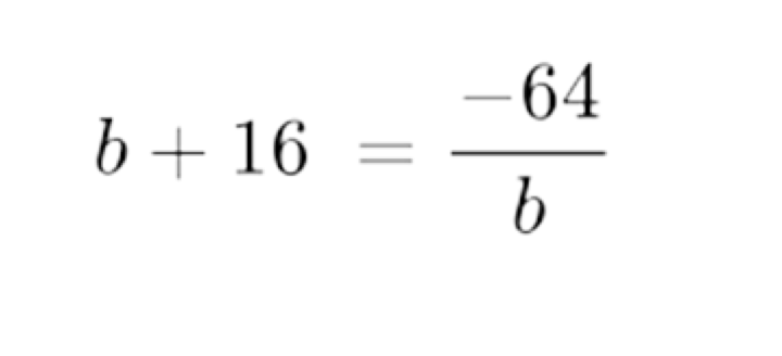
Solve this system. Give your answer in coordinate form (x,y) with a space between points.
Solve this system. Give your answer in coordinate form (x,y) with a space between points.
2
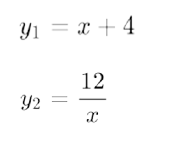
Solve this system. Give your answer in coordinate form (x,y) with a space between points.
Solve this system. Give your answer in coordinate form (x,y) with a space between points.
2
Solve this system. Give your answer in coordinate form (x,y) with a space between points.
Solve this system. Give your answer in coordinate form (x,y) with a space between points.