Log in
Sign up for FREE
arrow_back
Library

DHS Unit 4 CONSTRUCTED RESPONSE

star
star
star
star
star
Last updated about 5 years ago
15 questions
1
3
3
1
1
1
1
3
1
1
1
3
3
2
2
Question 1
1.

In INTERVAL NOTATION, what is the RANGE of the graph?

Question 2
2.

Match the equation in the left column with the choice in the right column that is correctly solved for x. You MUST show your work for solving of EACH of the 3 equations to receive FULL credit.

Draggable itemarrow_right_altCorresponding Item
arrow_right_alt
arrow_right_alt
arrow_right_alt
Question 3
3.

Match the equation in the left column with the choice in the right column that is correctly solved for x. You MUST show your work for solving of EACH of the 3 equations to receive FULL credit.

Draggable itemarrow_right_altCorresponding Item
arrow_right_alt
arrow_right_alt
arrow_right_alt
Question 4
4.

In INTERVAL NOTATION, what is the DOMAIN of the graph?

Question 5
5.

In INTERVAL NOTATION, what is the DOMAIN of the graph?

Question 6
6.

Given the graph below, evaluate

Question 7
7.

Given the graph below, evaluate

Question 8
8.

CALCULATE the Average Rate of Change (AROC) over the interval, [0, 2] for each of the following functions. THEN, order the functions in order from LEAST rate of change to GREATEST rate of change. You MUST show your work for EACH of the AROC calculations to receive FULL credit.

Question 9
9.

In INTERVAL NOTATION, what is the RANGE of the graph?

Question 10
10.

Which equation BEST represents the following graph?

Question 11
11.

Which graph BEST repsresents the piecewise defined function?

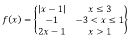
Question 12
12.

Given the value in the left column, match it with the correct answer in the right column based on the following function. You MUST show your work for EACH of the 3 values to receive FULL credit.

Draggable itemarrow_right_altCorresponding Item
arrow_right_alt
arrow_right_alt
arrow_right_alt
Question 13
13.

Given the value in the left column, match it with the correct answer in the right column based on the following function. You MUST show your work for EACH of the 3 values to receive FULL credit.

Draggable itemarrow_right_altCorresponding Item
arrow_right_alt
arrow_right_alt
arrow_right_alt
Question 14
14.

Given the graph of an absolute value function, when is...
(Write your answer in INTERVAL NOTATION)
If more than one interval, separate each with a comma.

Question 15
15.

Given the graph of an absolute value function, when is...
(Write your answer in INTERVAL NOTATION)
If more than one interval, separate each with a comma.