Log in
Sign up for FREE
arrow_back
Library
Unit 5 - Elimination (Part 1)
By Chris Long
star
star
star
star
star
Share
share
Last updated over 3 years ago
6 questions
Add this activity
Solve each system using elimination:
1 point
1
Question 1
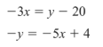
1.
A.4.d
1 point
1
Question 2
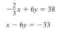
2.
A.4.d
1 point
1
Question 3
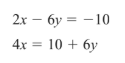
3.
A.4.d
1 point
1
Question 4
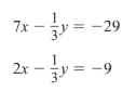
4.
A.4.d
1 point
1
Question 5
5.
A.4.d
1 point
1
Question 6
6.
A.4.d