Log in
Sign up for FREE
arrow_back
Library
Unit 5 - Solve with ANY method
By Chris Long
star
star
star
star
star
Share
share
Last updated almost 4 years ago
30 questions
Add this activity
1
1
1
1
1
1
1
1
1
1
1
1
1
1
1
1
1
1
1
1
1
1
1
1
1
1
1
1
1
1
Remember, you can always
CHECK
your answer with the graphing calculator!
There are only 15 systems to solve here, but 30 questions because I want you to identify the method you use to solve each one!
Use any method you want, and feel free to check your answer with the graphing calculator. Tell me which method you used (elimination or substitution).
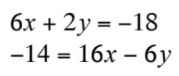
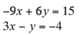
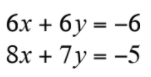
Use the following system for questions 1 and 2:
Question 1
1.
Which method will you use to solve the system?
Elimination
Substitution
Question 2
2.
What is the ordered pair of your answer?
visibility
View drawing
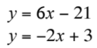
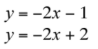
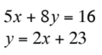
Use the following system for questions 3 and 4.
Question 3
3.
Which method will you use to solve the system?
Elimination
Substitution
Question 4
4.
What is the ordered pair of your answer?
visibility
View drawing
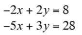
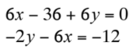
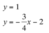
Use the following system for questions 5 and 6:
Question 5
5.
Which method will you use to solve the system?
Elimination
Substitution
Question 6
6.
What is the ordered pair of your answer?
visibility
View drawing
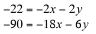
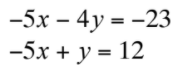
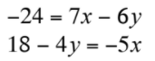
Use the following system for questions 7 and 8:
Question 7
7.
Which method will you use to solve the system?
Elimination
Substitution
Question 8
8.
What is the ordered pair of your answer?
visibility
View drawing
Use the following system for questions 9 and 10:
Question 9
9.
Which method will you use to solve the system?
Elimination
Substitution
Question 10
10.
What is the ordered pair of your answer?
visibility
View drawing
Use the following system for questions 11 and 12:
Question 11
11.
Which method will you use to solve the system?
Elimination
Substitution
Question 12
12.
What is the ordered pair of your answer?
visibility
View drawing
Use the following system for questions 13 and 14:
Question 13
13.
Which method will you use to solve the system?
Elimination
Substitution
Question 14
14.
What is the ordered pair of your answer?
visibility
View drawing
Use the following system for questions 15 and 16:
Question 15
15.
Which method will you use to solve the system?
Elimination
Substitution
Question 16
16.
What is the ordered pair of your answer?
visibility
View drawing
Use the following system for questions 17 and 18:
Question 17
17.
Which method will you use to solve the system?
Elimination
Substitution
Question 18
18.
What is the ordered pair of your answer?
visibility
View drawing
Use the following system for questions 19 and 20:
Question 19
19.
Which method will you use to solve the system?
Elimination
Substitution
Question 20
20.
What is the ordered pair of your answer?
visibility
View drawing
Use the following system for questions 21 and 22:
Question 21
21.
Which method will you use to solve the system?
Elimination
Substitution
Question 22
22.
What is the ordered pair of your answer?
visibility
View drawing
Use the following system for questions 23 and 24:
Question 23
23.
Which method will you use to solve the system?
Elimination
Substitution
Question 24
24.
What is the ordered pair of your answer?
visibility
View drawing
Use the following system for questions 25 and 26:
Question 25
25.
Which method will you use to solve the system?
Elimination
Substitution
Question 26
26.
What is the ordered pair of your answer?
visibility
View drawing
Use the following system for questions 27 and 28:
Question 27
27.
Which method will you use to solve the system?
Elimination
Substitution
Question 28
28.
What is the ordered pair of your answer?
visibility
View drawing
Use the following system for questions 29 and 30:
Question 29
29.
Which method will you use to solve the system?
Elimination
Substitution
Question 30
30.
What is the ordered pair of your answer?
visibility
View drawing
Click here for a worked out answer key :)