Log in
Sign up for FREE
arrow_back
Library
10.1 to 10.4 Quiz
By Julianne Gray
star
star
star
star
star
Share
share
Last updated about 5 years ago
20 questions
Add this activity
1
1
1
2
1
1
1
1
1
1
2
2
1
1
1
1
2
2
2
2
Question 1
1.
Write the product using exponents.
visibility
View drawing
Question 2
2.
Write the product using exponents.
visibility
View drawing
Question 3
3.
Write the product using exponents.
visibility
View drawing
Question 4
4.
Write the product using exponents.
visibility
View drawing
Question 5
5.
Evaluate the expression.
visibility
View drawing
Question 6
6.
Evaluate the expression.
visibility
View drawing
Question 7
7.
Evaluate the expression.
visibility
View drawing
Question 8
8.
Evaluate the expression.
visibility
View drawing
Question 9
9.
Simplify the expression. Express your answer as a power.
visibility
View drawing
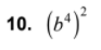
Question 10
10.
Simplify the expression. Express your answer as a power.
visibility
View drawing
Question 11
11.
Simplify the expression.
visibility
View drawing
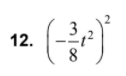
Question 12
12.
Simplify the expression.
visibility
View drawing
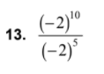
Question 13
13.
Simplify the expression. Write your answer as a power.
visibility
View drawing
Question 14
14.
Simplify the expression. Write your answer as a power.
visibility
View drawing
Question 15
15.
Simplify the expression. Write your answer as a power.
visibility
View drawing
Question 16
16.
Simplify the expression. Write your answer as a power.
visibility
View drawing
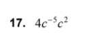
Question 17
17.
Simplify. Write the expression using only positive exponents.
visibility
View drawing
Question 18
18.
Simplify. Write the expression using only positive exponents.
visibility
View drawing
Question 19
19.
Use the image to answer the question.
visibility
View drawing
Question 20
20.
Use the image to answer the question.
visibility
View drawing