Solving Equations and Ineqalities Test
star
star
star
star
star
Last updated almost 5 years ago
16 questions
1
Solve the following equation.95 = -19r
Solve the following equation.
95 = -19r
1
Solve the equation
Solve the equation
1
Solve the following equation-26 = v - 20
Solve the following equation
-26 = v - 20
1
Solve the equationv + 8 = 3
Solve the equation
v + 8 = 3
1
Solve the equation-9 = 8k + 3 - 4
Solve the equation
-9 = 8k + 3 - 4
1
Solve the equationv - 4 + 7v = -12
Solve the equation
v - 4 + 7v = -12
1
Solve the equation
Solve the equation
1
Solve the equation-12 + 5p = 6p - 4
Solve the equation
-12 + 5p = 6p - 4
1
Which graph matches the inequality?
Which graph matches the inequality?
1
Which graph matches the inequality?
Which graph matches the inequality?
1
Solve the inequality
Solve the inequality
1
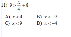
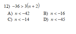
Solve the inequality
Solve the inequality
1
1
1
Look at the work done by students below. Who made the mistake?
Look at the work done by students below. Who made the mistake?
1
In problem number 16. What was the mistake? Type your answer.
In problem number 16. What was the mistake? Type your answer.