Log in
Sign up for FREE
arrow_back
Library
02 - Add & Subtract Polynomials
By Jeanmarie Mullen
star
star
star
star
star
Share
share
Last updated almost 5 years ago
27 questions
Add this activity
1
1
1
1
1
1
1
1
1
1
1
1
1
1
1
1
1
1
1
1
1
1
1
0
0
0
0
Today you will be adding & subtracting polynomials. Express each answer in simplest form.
Answers should be expressed in standard form (descending order).
Let's complete some examples together.
Question 1
1.
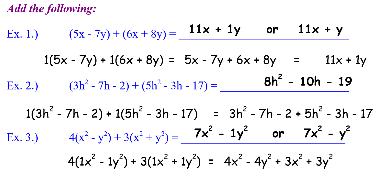
Add the following:
visibility
View drawing
Question 2
2.
What is the sum of 3h
2
- 7h - 2 and 5h
2
- 3h - 17 ?
visibility
View drawing
Question 3
3.
Simplify the following:
visibility
View drawing
Question 4
4.
Subtract 9x + y from 3x - 5y ?
visibility
View drawing
Question 5
5.
What is the difference between 11h
2
+ 5h + 8 and 7h
2
- 3h + 8 ?
visibility
View drawing
Question 6
6.
Simplify the following:
visibility
View drawing
Question 7
7.
Express the following in simplest form:
visibility
View drawing
Now complete the following for homework.
You must show all work for each.
Question 8
8.
Express in simplest form:
visibility
View drawing
Question 9
9.
Express in simplest form:
visibility
View drawing
Question 10
10.
What is the sum of 11xy - 4yz and 9xy + 4yz ?
visibility
View drawing
Question 11
11.
Add the following:
visibility
View drawing
Question 12
12.
Add the following:
visibility
View drawing
Question 13
13.
Express the following in simplest form:
visibility
View drawing
Question 14
14.
What is the sum of 7k + 4m + n and -3k - 7m + n ?
visibility
View drawing
Question 15
15.
Express the following in simplest form:
visibility
View drawing
Question 16
16.
Add the following:
visibility
View drawing
Question 17
17.
Subtract the following:
visibility
View drawing
Question 18
18.
Express the following in simplest form:
visibility
View drawing
Question 19
19.
Subtract 9w
2
- 3w from 8w
2
- 7w - 12 .
visibility
View drawing
Question 20
20.
Simplify:
visibility
View drawing
Question 21
21.
Simplify:
visibility
View drawing
Question 22
22.
Express the following in simplest form:
visibility
View drawing
Question 23
23.
Express the following in simplest form:
visibility
View drawing
Question 24
24.
Please upload pictures of your work if you didn't use the space provided.
visibility
View drawing
Question 25
25.
Please upload pictures of your work if you didn't use the space provided.
visibility
View drawing
Question 26
26.
Please upload pictures of your work if you didn't use the space provided.
visibility
View drawing
Question 27
27.
Please upload pictures of your work if you didn't use the space provided.
visibility
View drawing