Alg 1A - 6.3 - Ms. Taken Assignment
star
star
star
star
star
Last updated over 4 years ago
14 questions

1
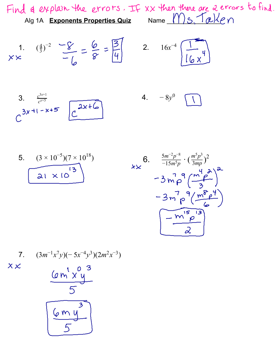
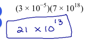
Select the mistake(s) that occur in this problem.
Select the mistake(s) that occur in this problem.
1
Simplify and show all work. Your answer should only include positive exponents.
Simplify and show all work. Your answer should only include positive exponents.
1
Select the mistake(s) that occur in this problem.
Select the mistake(s) that occur in this problem.
1
Simplify and show all work. Your answer should only include positive exponents.
Simplify and show all work. Your answer should only include positive exponents.
1
Select the mistake(s) that occur in this problem.
Select the mistake(s) that occur in this problem.
1
Simplify and show all work. Your answer should only include positive exponents.
Simplify and show all work. Your answer should only include positive exponents.
1
Select the mistake(s) that occur in this problem.
Select the mistake(s) that occur in this problem.
1
Simplify and show all work. Your answer should only include positive exponents.
Simplify and show all work. Your answer should only include positive exponents.
1
Select the mistake(s) that occur in this problem.
Select the mistake(s) that occur in this problem.
1
Simplify and show all work. Your answer should only include positive exponents.
Simplify and show all work. Your answer should only include positive exponents.
1
Select the mistake(s) that occur in this problem.
Select the mistake(s) that occur in this problem.
1
Simplify and show all work. Your answer should only include positive exponents.
Simplify and show all work. Your answer should only include positive exponents.
1
Select the mistake(s) that occur in this problem.
Select the mistake(s) that occur in this problem.
1
Simplify and show all work. Your answer should only include positive exponents.
Simplify and show all work. Your answer should only include positive exponents.