Log in
Sign up for FREE
arrow_back
Library

Unit 5 Test - Systems of equations

star
star
star
star
star
Last updated almost 4 years ago
12 questions
0
5
5
5
5
5
2
2
1
2
2
1
Question 1
1.

By submitting this assessment, I am affirming that I have not given or received any unauthorized help on this assignment, and that this work is my own.

Question 2
2.

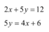
Solve the linear system BY GRAPHING, if possible. CHECK YOUR SOLUTION TO SHOW YOUR WORK!

We have released a new and improved Graphing question type! Students will no longer be able to answer this question.
Question 3
3.

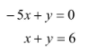
Solve the linear system, if possible, BY SUBSTITUTION. CHECK YOUR SOLUTION.

Question 4
4.

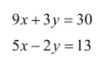
Solve the linear system, if possible, BY ELIMINATION. CHECK YOUR SOLUTION.

Question 5
5.

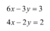
Solve the linear system, if possible, BY ELIMINATION. CHECK YOUR SOLUTION.

Question 6
6.

Solve the linear system, if possible, BY ANY ALGEBRAIC METHOD. CHECK YOUR SOLUTION.

The sum of the ages of Petra and her mother is 53. Petra's mother is 11 years more than twice as old as Petra. Clearly answer this question: How old are Petra and her mother?
Question 7
7.

Write a linear system to represent the given problem. (x is Petra's age and y is her mom's age)

Question 8
8.

Solve the linear system using any algebraic method to find the age of Petra and her mother. Show your work!

Question 9
9.

Write your answer in a complete sentence.

A hotel rents a double-occupancy room for $30 more than a single-occupancy room. One night, the hotel took in $3115 after renting 15 double-occupancy rooms and 26 single-occupancy rooms. Write and solve a linear system to find the cost of renting a double-occupancy room and the cost of renting a single occupancy room.
Question 10
10.

Write a linear system to represent the given problem. (x is the price of double occupancy rooms and y is the price of single occupancy rooms)

Question 11
11.

Solve the linear system using any algebraic method to find the price of a double-occupancy room and the price of a single-occupancy room. Show your work! (if you show it on paper, you don't have to put it here)

Question 12
12.

Write your answer in a complete sentence.