Log in
Sign up for FREE
arrow_back
Library

Unit 5 - Test Review

star
star
star
star
star
Last updated almost 4 years ago
14 questions
1
1
1
1
1
1
1
1
1
1
1
1
1
1
Question 1
1.

Solve the linear system, if possible, by graphing. CHECK YOUR SOLUTION! - Checking is showing your work for this one.

We have released a new and improved Graphing question type! Students will no longer be able to answer this question.
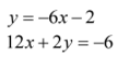
Question 2
2.

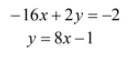
Solve the linear system, if possible, by substitution. CHECK YOUR SOLUTION! Show your work for how you got your answer and how you checked it!

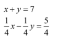
Question 3
3.

Solve the linear system, if possible, by substitution. CHECK YOUR SOLUTION! Show your work for how you got your answer and how you checked it!

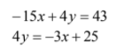
Question 4
4.

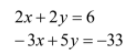
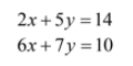
Solve the linear system, if possible, by elimination. CHECK YOUR SOLUTION! Show your work for how you got your answer and how you checked it!

Question 5
5.

Solve the linear system, if possible, by elimination. CHECK YOUR SOLUTION! Show your work for how you got your answer and how you checked it!

Question 6
6.

Solve the linear system, if possible, by any algebraic method. CHECK YOUR SOLUTION! Show your work for how you got your answer and how you checked it!

A bag contains dimes and nickels. There are 18 coins in the bag. The value of the coins is $1.25.

(x is the number of dimes and y is the number of nickels)
Question 7
7.

Write a system of linear equations to represent the problem. (Hint: one equation for the number of coins, one for the dollar value)

Question 8
8.

Solve your system! Write your answer as an ordered pair.

Question 9
9.

How many nickels are in the bag?

A fundraising dinner was held on two consecutive nights. On the first night, 100 adult tickts and 175 children's tickets were sold for a total of $937.50. On the second night, 200 adult ticktes and 316 children's tickets were sold for a total of $1790.
Question 10
10.

What was the price for an adult's ticket?

Question 11
11.

What was the price for a children's ticket?

Solve, if possible. Check your solutions!
Question 12
12.

Question 13
13.

Question 14
14.

Detailed answer key here, check here first, then ask questions!