Log in
Sign up for FREE
arrow_back
Library

8.1 Systems by Graphing

star
star
star
star
star
Last updated over 5 years ago
9 questions
1
1
1
1
1
1
1
1
1
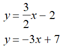
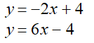
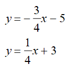
Solve each system by graphing. Check your point to make sure your answer is correct.
Question 1
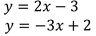
1.



Type your point of intersection below.

Question 2
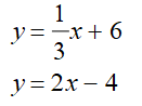
2.


Type your point of intersection below.

Question 3
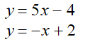
3.



Type your point of intersection below.

Question 4
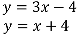
4.


Type your point of intersection below.

Question 5
5.


Type your point of intersection below.

Question 6
6.


Type your point of intersection below.

Question 7
7.


Type your point of intersection below.

Question 8
8.


Type your point of intersection below.

Question 9
9.

Bethua and Joshany both work on the weekends for the school distict. Bethua gets paid $20 up front and then $7.50 an hour. Joshany gets paid $10 an hour. The graph below models the total amount of money (y) each student has earned working for x hours.

What does the point of intersection on the graph represent?



After 80 hours, each student will earn a total of $8
After 8 hours, each student will earn a total of $80
After 8 hours, Bethua has earned a total of $80 and Joshany has earned a total of $8
After 80 hours, Bethua has earned a total of $8 and Joshany has earned a total of $80