Log in
Sign up for FREE
arrow_back
Library

8.3 Solving Systems by Elimination

star
star
star
star
star
Last updated about 5 years ago
8 questions
1
1
1
1
1
1
1
1
Solve each system by eliminating one of the variables. Write your answer as an ordered pair. Check your answer.
Question 1
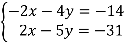
1.

Question 2
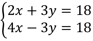
2.

Question 3
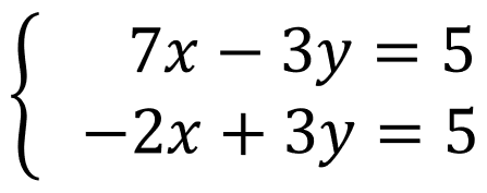
3.

Question 4
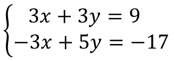
4.

Question 5
5.

Question 6
6.

Stevelyn went to Amelia's and bought x packages of spaghetti for $2 each and y jars of pasta sauce for $3 each and spent a total of $18. But upon returning home Stevelyn had pasta sauce already but was out of parmesan cheese. Stevelyn returned to Amelia's and bought x containers of parmesan cheese for $4 each and returned the pasta sauce bought on the first trip and still spent $18. The system of equations shown below represents the amounts, in dollars, Stevelyn spent on the two trips to Amelia's.


Question 7
7.

How many boxes of spaghetti did Stevelyn buy on the first trip?

Question 8
8.

How many jars of pasta sauce did Stevelyn buy on the first trip?